Hỗ trợ tư vấn
Tư vấn - Giải đáp - Hỗ trợ đặt tài liệu
Mua gói Pro để tải file trên Download.vn (không bao gồm tài liệu cao cấp) và trải nghiệm website không quảng cáo
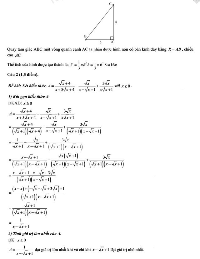
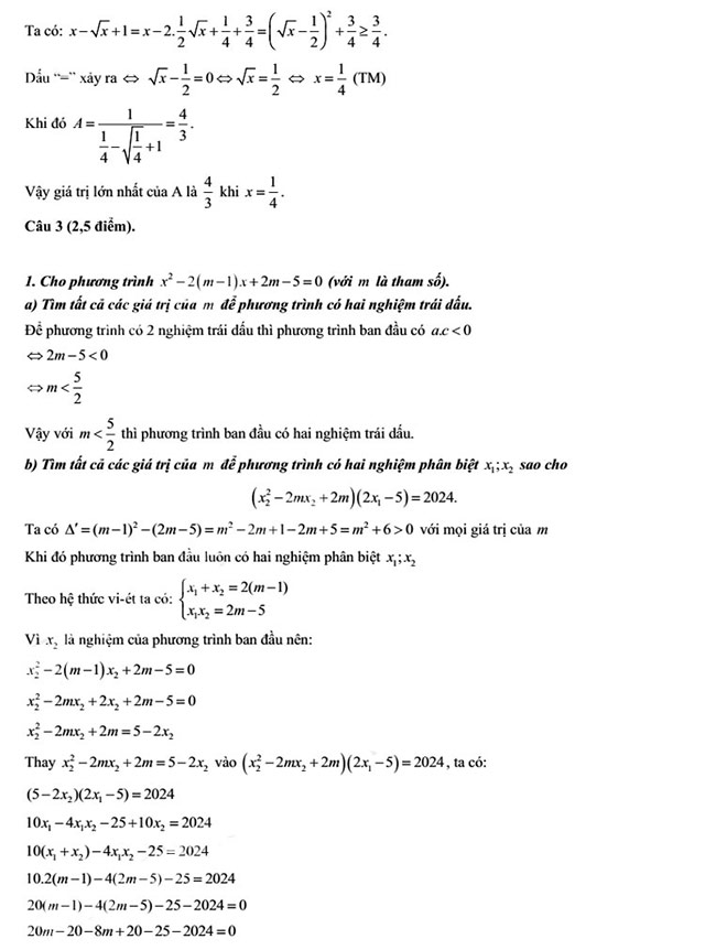
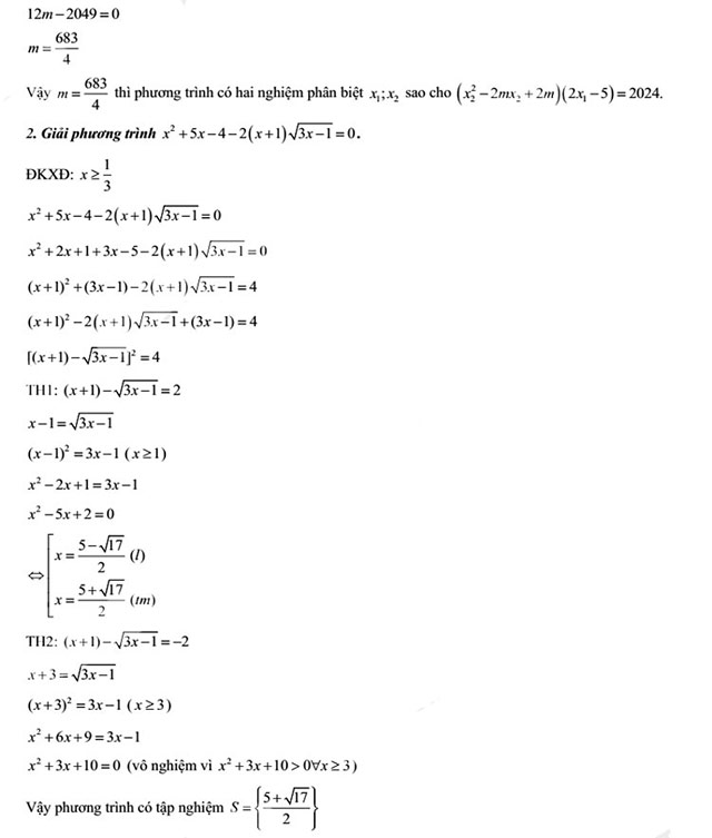
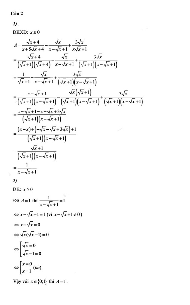
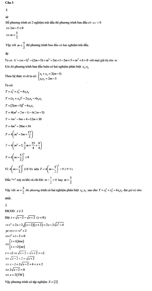
Tìm hiểu thêm »Đáp án đề thi vào lớp 10 môn Toán năm 2024 - 2025 THPT Chuyên Lê Hồng Phong, Nam Định, giúp các em tham khảo, dễ dàng so sánh với kết quả bài thi vào lớp 10 của mình thuận tiện hơn.
Đề thi vào 10 môn Toán chung thi theo hình thức tự luận, thời gian làm bài là 120 phút. Đáp án đề thi vào 10 Toán Chuyên Lê Hồng Phong 2024 giúp những trường chưa thi chủ động ôn thi, hệ thống lại kiến thức dễ dàng hơn. Vậy mời các em cùng theo dõi bài viết dưới đây của Download.vn:













Theo Nghị định 147/2024/ND-CP, bạn cần xác thực tài khoản trước khi sử dụng tính năng này. Chúng tôi sẽ gửi mã xác thực qua SMS hoặc Zalo tới số điện thoại mà bạn nhập dưới đây: