Hỗ trợ tư vấn
Tư vấn - Giải đáp - Hỗ trợ đặt tài liệu
Mua gói Pro để tải file trên Download.vn (không bao gồm tài liệu cao cấp) và trải nghiệm website không quảng cáo
Tìm hiểu thêm »Đáp án đề thi vào lớp 10 năm 2025 - 2026 sở GD&ĐT Hà Nội gồm môn Toán, Văn, Tiếng Anh giúp các em học sinh tham khảo, dễ dàng so sánh với kết quả bài thi vào lớp 10 của mình thuận tiện hơn.
Kỳ thi tuyển sinh vào lớp 10 Hà Nội sẽ diễn ra trong hai ngày 7/6 - 8/6. Với đáp án bộ đề thi vào 10 Hà Nội sẽ giúp các em thuận tiện so sánh đáp án với bài làm của mình. Từ đó dễ dàng nắm được số điểm mình đạt được. Vậy sau đây là nội dung chi tiết đáp án đề thi vào 10 Hà Nội 2025 mời các bạn cùng theo dõi nhé.
Đang cập nhật
Đang cập nhật
Đang cập nhật
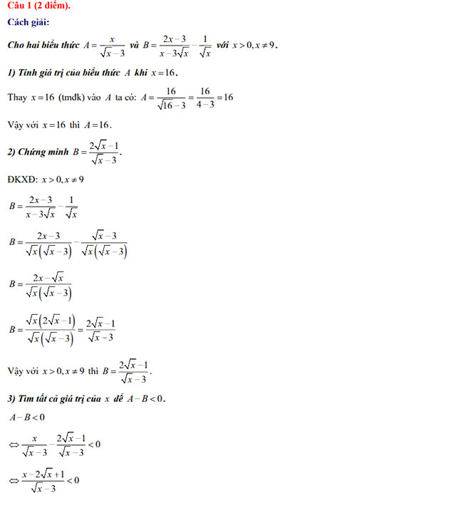
Câu 1.
- Bài thơ Đồng chí được viết theo thể thơ tự do.
- Văn bản trong chương trình Ngữ Văn 9 được viết cùng thể thơ: (Học sinh có thể tùy chọn 1 tác phẩm trong chương trình học có thể thơ tự do) tác phẩm "Nói với con" của tác giả Y Phương.
Câu 2.
- Cặp hình ảnh tương ứng tạo nên sự sóng đôi trong đoạn trích:
Quê hương anh - làng tôi;
nước mặn đồng chua - đất cày lên sỏi đá
- Tác dụng: Nghệ thuật sóng đôi cho thấy được sự đồng điệu trong hoàn cảnh của những người lính, họ hiểu và cảm thông cho hoàn cảnh của nhau. Anh với tôi đều ra đi từ những làng quê nghèo khó, cùng chung hoàn cảnh xuất thân.
Câu 3.
Giá trị biểu đạt của từ "đôi" trong câu "Anh với tôi đôi người xa lạ":
- "Đôi" là hai, luôn có sự xuất hiện song hành và không tách rời.
- Từ đôi đặt giữa câu thơ giữa hai cụm "anh và tôi" và cụm "người xa lạ" cho thấy những người đồng chí từ chỗ không quen biết, xa lạ với nhau nhưng họ vẫn có sợi dây gắn kết vô hình: chung hoàn cảnh, chung lí tưởng, chung mục đích. Họ luôn đồng hành, kết đôi, từ "đôi" góp phần khẳng định sự gắn bó khăng khít của những người lính.
Câu 4.
Yêu cầu về hình thức:
Đoạn văn khoảng 15 câu theo phép lập luận quy nạp, có sử dụng thành phần tình thái và thán từ. Bài làm không mắc lỗi diễn đạt, dùng từ. Đảm bảo đủ 3 phần: mở đoạn, thân đoạn, kết đoạn.
Yêu cầu về nội dung:
Làm sáng tỏ được hình ảnh người lính
Bài làm có thể triển khai theo nhiều cách, sau đây là gợi ý.
1. Mở đoạn:
Giới thiệu vấn đề nghị luận: hình ảnh người lính trong tám dòng thơ cuối bài.
2. Thân đoạn:
- Những người lính luôn đồng cam, cộng khổ với nhau:
+ Áo rách vai, quần có vài mảnh vá, chân không giày => Cuộc sống vô cùng thiếu thốn, khó khăn.
+ Sự khắc nghiệt của khí hậu núi rừng -> nhưng họ đã vượt lên nhờ tinh thần lạc quan cách mạng, sự ấm áp của tình đồng chí.
- Là niềm yêu thương, gắn bó sâu nặng họ dành cho nhau: Hình ảnh "tay nắm bàn tay":
+ Chất chứa bao yêu thương trìu mến. Họ sẵn lòng chia sẻ khó khăn khó khăn cùng nhau.
+ Chứa đựng cả những khao khát bên người thân yêu.
=> Chính tình đồng chí chân thành, cảm động và sâu sắc đã nâng đỡ bước chân người lính và sưởi ấm tâm hồn họ trên mọi nẻo đường chiến đấu.
- Sức mạnh và vẻ đẹp của tình đồng chí: Được xây dựng trên nền một hoàn cảnh khắc nghiệt:
+ Thời gian, không gian: rừng đêm hoang vu, lạnh lẽo.
+ Không khí căng thẳng trước một trận chiến đấu. Trước mắt họ là cả những mất mát, hi sinh không thể tránh khỏi.
-> Tâm hồn họ vẫn bay lên với hình ảnh vầng trăng nơi đầu súng.
-> Họ vẫn xuất hiện trong tư thế điềm tĩnh, chủ động "chờ giặc tới".
=> Nhờ tựa vào sức mạnh của tinh thần đồng đội. Họ "đứng cạnh bên nhau" và trở thành một khối thống nhất không gì lay chuyển nổi.
- Sức mạnh tình đồng chí còn được thể hiện qua một hình ảnh thơ độc đáo, đầy sáng tạo: "Đầu súng trăng treo":
+ Vốn là một hình ảnh thơ được cảm nhận từ thực tiễn chiến đấu. Song hình ảnh này mang nhiều ý nghĩa biểu tượng phong phú:
Gợi liên tưởng: chiến tranh - hòa bình, hiện thực - ảo mộng, kiên cường – lãng mạn, chất chiến sĩ – chất thi sĩ.
Gợi vẻ đẹp của tình đồng chí sâu sắc. Sự xuất hiện của vầng trăng là một bằng chứng về sức mạnh kì diệu của tình đồng đội.
Gợi vẻ đẹp của tâm hồn người lính – một tâm hồn luôn trong trẻo, tươi mát dẫu phải băng qua lửa đạn chiến tranh.
Gợi vẻ đẹp tâm hồn dân tộc Việt Nam – một bàn tay giữ chắc cây súng mà trái tim luôn hướng đến những khát vọng thanh bình.
3. Kết đoạn:
Khái quát lại hình tượng người lính.
PHẦN II:
Câu 1.
Học sinh lựa chọn 1 phép liên kết và trình bày. Sau đây là gợi ý.
Phép liên kết: lặp – "không sống để đáp ứng mong đợi của người khác"
Câu 2.
Học sinh đưa ra quan điểm cá nhân và đưa ra lí giải phù hợp. Sau đây là gợi ý.
Gợi ý:
Theo em, sẽ không ích kỷ khi nói rằng: "chúng ta không sống để đáp ứng mong đợi của người khác", vì:
+ Mỗi người có một cuộc sống riêng, một hành trình riêng, một ước mơ riêng cần hướng đến. Vì vậy, mỗi người sẽ lại tự đặt cho mình những tiêu chí khác nhau, không ai giống ai
+ Nếu luôn sống để đáp ứng mong đợi của người khác, chúng ta sẽ mãi trở thành cái bóng, không được làm chính mình. Cứ mãi chạy theo những mong đợi của người khác, dần dần chúng ta sẽ mất đi bản sắc vốn có của bản thân
Câu 3.
Yêu cầu về hình thức: Đoạn văn khoảng ⅔ trang giấy thi, không mắc lỗi diễn đạt, dùng từ. Đảm bảo đủ 3 phần: mở đoạn, thân đoạn, kết đoạn.
Yêu cầu về nội dung: Làm sáng tỏ được vấn đề nghị luận: Nên ứng xử thế nào trước mong đợi của những người thân yêu
Bài làm có thể triển khai theo nhiều cách, sau đây là gợi ý.
1. Mở đoạn
Giới thiệu vấn đề: Nên ứng xử thế nào để đáp ứng mong đợi của những người thân yêu đối với chúng ta.
2. Thân đoạn
a. Giải thích
- Ứng xử là: là cách thể hiện thái độ, hành vi hay chính là sự giao tiếp, xử sự giữa con người với con người. Thông qua đó, hình thành sự thiết lập mối quan hệ giữa mọi người.
- Mong đợi: là hy vọng, mong muốn điều gì đó tốt đẹp cho những điều sắp xảy ra.
→ Ứng xử trước mong đợi của những người thân yêu: là cách suy nghĩ, hành động và xử sự của bản thân trước những kì vọng mà người thân chờ mong ở chúng ta
b. Phân tích
- Trước những mong đợi của những người thân yêu, ta cần có những ứng xử phù hợp, thể hiện sự quan tâm, thấu hiểu và tôn trọng họ. Chúng ta cần lắng nghe, thấu hiểu, kiên nhẫn và bao dung trước những mong muốn của người thân trong gia đình
- Tuy nhiên, chúng ta cũng cần phải sống cho chính bản thân mình:
• Bởi mỗi chúng ta là một cá thể độc lập, chỉ sống một lần trong đời, bởi vậy không chỉ nghe theo những mong muốn của người khác mà còn phải sống với chính những khát khao, ước mơ của chính mình.
• Ai cũng có nhu cầu và mong muốn được người khác công nhận, bởi vậy nếu sống theo ý của người khác thì bạn sẽ sống cuộc đời của người khác chứ không phải của mình.
• Khi được sống với mong muốn của bản thân bạn sẽ được thỏa mãn những mơ ước của mình, từ đó có động lực phấn đấu, không ngừng nỗ lực, vươn lên.
- Trong cuộc sống cần phải biết cân bằng giữa mong muốn của người thân với ước mơ, khát khao cũng như năng lực của chính mình.
Học sinh tự lấy dẫn chứng phù hợp.
3. Kết đoạn: Tổng kết vấn đề.
|
SỞ GIÁO DỤC VÀ ĐÀO TẠO HÀ NỘI ĐỀ CHÍNH THỨC |
KỲ THI TUYỂN SINH VÀO LỚP 10 THPT NĂM HỌC 2024 - 2025 |
Phần I (6,5 điểm)
Đồng chí của Chính Hữu là một trong những tác phẩm tiêu biểu viết về người lính cách mạng thời kháng chiến chống Pháp.
Câu 1 (1,0 điểm): Bài thơ Đồng chỉ được viết theo thể thơ nào? Kể tên một văn bản khác trong chương trình Ngữ văn 9 cũng được viết theo thể thơ đó và ghi rõ tên tác giả.
Câu 2 (1,5 điểm): Hãy chỉ rõ những cặp hình ảnh tương ứng tạo nên sự sóng đôi giữa hai dòng thơ sau và cho biết sự sóng đôi ấy mang lại hiệu quả nghệ thuật như thế nào?
“Quê hương anh nước mặn, đồng chua
Làng tôi nghèo đất cày lên sỏi đá.”
Câu 3 (0,5 điểm): Nêu giá trị biểu đạt của từ “đối” trong dòng thơ “Anh với tôi đôi người xa lạ”.
Câu 4 (3,5 điểm): Viết một đoạn văn (khoảng 15 câu) theo phép lập luận quy nạp làm rõ hình ảnh người lính ở tám dòng thơ dưới đây, trong đó có sử dụng thành phần tình thái và thán từ (gạch dưới, chú thích rõ một thành phần tình thái và một thán từ):
“Áo anh rách vai
Quần tôi có vài mảnh vá
Miệng cười buốt giá
Chân không giày
Thương nhau tay nắm lấy bàn tay.
Đêm nay rừng hoang sương muối
Đứng cạnh bên nhau chờ giặc tới
Đầu súng trăng treo.
(Ngữ văn 9, tập một, NXB Giáo dục Việt Nam, 2023)
Phần II (3,5 điểm)
Đọc đoạn trích sau và thực hiện các yêu cầu:
“Chàng thanh niên: ... Nhu cầu được người mình yêu quý thừa nhận, được những người gần gũi mình chấp nhận là nhu cầu rất tự nhiên!
Triết gia: Cậu đang ngộ nhận rồi. Nghe này, chúng ta không sống để đáp ứng mong đợi của người khác.
Chàng thanh niên: Thầy nói sao cơ?
Triết gia: Cậu không sống để đáp ứng mong đợi của người khác. Tôi cũng không sống để đáp ứng mong đợi của người khác. Chúng ta không cần đáp ứng mong đợi của người khác. Chàng thanh niên: Không, quan điểm thế này thì quá vị kỷ! Thầy đang bảo tôi cứ sống ích kỷ, chỉ nghĩ đến mình thôi sao?
[...],
Triết gia: Nhu cầu được người khác thừa nhận, suốt đời để ý đến đánh giá của người khác, cuối cùng sẽ thành ra sống cuộc đời của người khác.”
(Dẫn theo Dám bị ghét, Kishimi Ichiro và Koga Fumitake, NXB Dân Trí, 2024)
Câu 1 (0,5 điểm): Xác định một phép liên kết có trong những câu văn được in nghiêng ở đoạn trích trên và chỉ rõ từ ngữ dùng làm phương tiện liên kết.
Câu 2 (1,0 điểm): Theo em, có ích kỷ không nếu “chúng ta không sống để đáp ứng mong đợi của người khác”? Vì sao?
Câu 3 (2,0 điểm): Từ nội dung đoạn trích trên, kết hợp với hiểu biết xã hội, em hãy viết đoạn văn nghị luận (khoảng 2/3 trang giấy thi) để trả lời câu hỏi: Nên ứng xử thế nào trước mong đợi của những người thân yêu đối với chúng ta?










| Câu | Đ/a | Câu | Đ/a | Câu | Đ/a | Câu | Đ/a | Câu | Đ/a |
|---|---|---|---|---|---|---|---|---|---|
| 1 | C | 2 | D | 3 | C | 4 | B | 5 | A |
| 6 | A | 7 | B | 8 | C | 9 | B | 10 | D |
| 11 | B | 12 | C | 13 | D | 14 | C | 15 | A |
| 16 | A | 17 | D | 18 | C | 19 | A | 20 | D |
| 21 | A | 22 | D | 23 | C | 24 | D | 25 | A |
| 26 | B | 27 | B | 28 | D | 29 | C | 30 | B |
| 31 | C | 32 | B | 33 | C | 34 | A | 35 | C |
| 36 | C | 37 | D | 38 | B | 39 | A | 40 | D |
| Câu | Đ/a | Câu | Đ/a | Câu | Đ/a | Câu | Đ/a | Câu | Đ/a |
|---|---|---|---|---|---|---|---|---|---|
| 1 | D | 2 | A | 3 | B | 4 | D | 5 | B |
| 6 | C | 7 | A | 8 | C | 9 | A | 10 | C |
| 11 | D | 12 | D | 13 | C | 14 | D | 15 | D |
| 16 | B | 17 | D | 18 | C | 19 | D | 20 | A |
| 21 | C | 22 | B | 23 | A | 24 | B | 25 | C |
| 26 | B | 27 | A | 28 | A | 29 | B | 30 | C |
| 31 | A | 32 | A | 33 | A | 34 | A | 35 | A |
| 36 | C | 37 | C | 38 | C | 39 | B | 40 | D |
| Câu | Đ/a | Câu | Đ/a | Câu | Đ/a | Câu | Đ/a | Câu | Đ/a |
|---|---|---|---|---|---|---|---|---|---|
| 1 | D | 2 | D | 3 | A | 4 | A | 5 | C |
| 6 | D | 7 | D | 8 | B | 9 | A | 10 | B |
| 11 | D | 12 | C | 13 | B | 14 | A | 15 | D |
| 16 | C | 17 | D | 18 | B | 19 | C | 20 | B |
| 21 | A | 22 | C | 23 | B | 24 | A | 25 | B |
| 26 | C | 27 | C | 28 | A | 29 | D | 30 | B |
| 31 | A | 32 | B | 33 | B | 34 | A | 35 | D |
| 36 | B | 37 | A | 38 | C | 39 | C | 40 | C |
| Câu | Đ/a | Câu | Đ/a | Câu | Đ/a | Câu | Đ/a | Câu | Đ/a |
|---|---|---|---|---|---|---|---|---|---|
| 1 | B | 2 | B | 3 | D | 4 | A | 5 | D |
| 6 | B | 7 | D | 8 | A | 9 | C | 10 | A |
| 11 | D | 12 | D | 13 | C | 14 | C | 15 | D |
| 16 | D | 17 | A | 18 | B | 19 | C | 20 | A |
| 21 | A | 22 | B | 23 | C | 24 | C | 25 | A |
| 26 | B | 27 | C | 28 | B | 29 | C | 30 | D |
| 31 | C | 32 | D | 33 | A | 34 | C | 35 | C |
| 36 | B | 37 | D | 38 | D | 39 | C | 40 | D |
| Câu | Đ/a | Câu | Đ/a | Câu | Đ/a | Câu | Đ/a | Câu | Đ/a |
|---|---|---|---|---|---|---|---|---|---|
| 1 | D | 2 | C | 3 | D | 4 | C | 5 | C |
| 6 | B | 7 | A | 8 | D | 9 | D | 10 | A |
| 11 | A | 12 | D | 13 | B | 14 | D | 15 | B |
| 16 | B | 17 | C | 18 | A | 19 | D | 20 | C |
| 21 | B | 22 | C | 23 | C | 24 | B | 25 | A |
| 26 | A | 27 | B | 28 | D | 29 | A | 30 | A |
| 31 | C | 32 | C | 33 | B | 34 | D | 35 | A |
| 36 | C | 37 | C | 38 | D | 39 | A | 40 | B |
| Câu | Đ/a | Câu | Đ/a | Câu | Đ/a | Câu | Đ/a | Câu | Đ/a |
|---|---|---|---|---|---|---|---|---|---|
| 1 | D | 2 | A | 3 | D | 4 | D | 5 | C |
| 6 | C | 7 | A | 8 | B | 9 | A | 10 | B |
| 11 | C | 12 | D | 13 | D | 14 | C | 15 | B |
| 16 | B | 17 | A | 18 | A | 19 | D | 20 | B |
| 21 | C | 22 | A | 23 | A | 24 | B | 25 | C |
| 26 | B | 27 | D | 28 | D | 29 | C | 30 | A |
| 31 | C | 32 | B | 33 | A | 34 | A | 35 | A |
| 36 | C | 37 | C | 38 | B | 39 | A | 40 | B |
| Câu | Đ/a | Câu | Đ/a | Câu | Đ/a | Câu | Đ/a | Câu | Đ/a |
|---|---|---|---|---|---|---|---|---|---|
| 1 | C | 2 | A | 3 | B | 4 | B | 5 | A |
| 6 | A | 7 | B | 8 | C | 9 | B | 10 | D |
| 11 | A | 12 | C | 13 | B | 14 | D | 15 | B |
| 16 | D | 17 | B | 18 | C | 19 | D | 20 | A |
| 21 | A | 22 | D | 23 | D | 24 | A | 25 | C |
| 26 | D | 27 | A | 28 | C | 29 | C | 30 | D |
| 31 | B | 32 | A | 33 | A | 34 | C | 35 | A |
| 36 | D | 37 | A | 38 | C | 39 | A | 40 | B |
| Câu | Đ/a | Câu | Đ/a | Câu | Đ/a | Câu | Đ/a | Câu | Đ/a |
|---|---|---|---|---|---|---|---|---|---|
| 1 | C | 2 | D | 3 | D | 4 | B | 5 | A |
| 6 | C | 7 | D | 8 | B | 9 | B | 10 | D |
| 11 | C | 12 | A | 13 | A | 14 | D | 15 | D |
| 16 | C | 17 | A | 18 | B | 19 | D | 20 | B |
| 21 | A | 22 | C | 23 | C | 24 | A | 25 | B |
| 26 | A | 27 | C | 28 | B | 29 | B | 30 | D |
| 31 | D | 32 | A | 33 | D | 34 | A | 35 | B |
| 36 | D | 37 | B | 38 | B | 39 | B | 40 | C |
| Câu | Đ/a | Câu | Đ/a | Câu | Đ/a | Câu | Đ/a | Câu | Đ/a |
|---|---|---|---|---|---|---|---|---|---|
| 1 | A | 2 | C | 3 | C | 4 | A | 5 | D |
| 6 | C | 7 | B | 8 | D | 9 | D | 10 | B |
| 11 | A | 12 | B | 13 | C | 14 | D | 15 | D |
| 16 | B | 17 | A | 18 | C | 19 | B | 20 | D |
| 21 | B | 22 | A | 23 | A | 24 | B | 25 | C |
| 26 | A | 27 | C | 28 | C | 29 | D | 30 | B |
| 31 | B | 32 | A | 33 | D | 34 | C | 35 | C |
| 36 | D | 37 | D | 38 | A | 39 | A | 40 | D |
| Câu | Đ/a | Câu | Đ/a | Câu | Đ/a | Câu | Đ/a | Câu | Đ/a |
|---|---|---|---|---|---|---|---|---|---|
| 1 | A | 2 | A | 3 | B | 4 | B | 5 | C |
| 6 | D | 7 | A | 8 | D | 9 | D | 10 | C |
| 11 | A | 12 | D | 13 | D | 14 | B | 15 | A |
| 16 | C | 17 | A | 18 | C | 19 | C | 20 | A |
| 21 | B | 22 | C | 23 | B | 24 | D | 25 | B |
| 26 | D | 27 | C | 28 | D | 29 | B | 30 | A |
| 31 | D | 32 | C | 33 | C | 34 | C | 35 | A |
| 36 | B | 37 | B | 38 | A | 39 | D | 40 | B |
| Câu | Đ/a | Câu | Đ/a | Câu | Đ/a | Câu | Đ/a | Câu | Đ/a |
|---|---|---|---|---|---|---|---|---|---|
| 1 | C | 2 | C | 3 | B | 4 | D | 5 | A |
| 6 | C | 7 | B | 8 | B | 9 | D | 10 | C |
| 11 | C | 12 | A | 13 | D | 14 | B | 15 | A |
| 16 | C | 17 | A | 18 | A | 19 | D | 20 | B |
| 21 | C | 22 | A | 23 | A | 24 | B | 25 | D |
| 26 | D | 27 | B | 28 | D | 29 | B | 30 | C |
| 31 | C | 32 | A | 33 | B | 34 | C | 35 | A |
| 36 | C | 37 | C | 38 | A | 39 | D | 40 | A |
| Câu | Đ/a | Câu | Đ/a | Câu | Đ/a | Câu | Đ/a | Câu | Đ/a |
|---|---|---|---|---|---|---|---|---|---|
| 1 | B | 2 | A | 3 | D | 4 | C | 5 | A |
| 6 | C | 7 | D | 8 | D | 9 | A | 10 | A |
| 11 | D | 12 | B | 13 | D | 14 | B | 15 | B |
| 16 | A | 17 | A | 18 | C | 19 | D | 20 | C |
| 21 | B | 22 | D | 23 | A | 24 | B | 25 | B |
| 26 | A | 27 | C | 28 | C | 29 | B | 30 | B |
| 31 | C | 32 | D | 33 | C | 34 | A | 35 | C |
| 36 | B | 37 | A | 38 | B | 39 | C | 40 | C |
| âu | Đ/a | Câu | Đ/a | Câu | Đ/a | Câu | Đ/a |
|---|---|---|---|---|---|---|---|
| 1 | A | 11 | D | 21 | C | 31 | D |
| 2 | B | 12 | D | 22 | A | 32 | C |
| 3 | A | 13 | A | 23 | D | 33 | A |
| 4 | B | 14 | A | 24 | C | 34 | D |
| 5 | B | 15 | C | 25 | D | 35 | A |
| 6 | C | 16 | B | 26 | A | 36 | C |
| 7 | D | 17 | B | 27 | C | 37 | B |
| 8 | D | 18 | C | 28 | D | 38 | D |
| 9 | A | 19 | D | 29 | A | 39 | B |
| 10 | B | 20 | B | 30 | C | 40 | D |
| Câu | Đ/a | Câu | Đ/a | Câu | Đ/a | Câu | Đ/a | Câu | Đ/a |
|---|---|---|---|---|---|---|---|---|---|
| 1 | B | 2 | A | 3 | D | 4 | C | 5 | A |
| 6 | C | 7 | D | 8 | D | 9 | A | 10 | A |
| 11 | D | 12 | B | 13 | D | 14 | B | 15 | B |
| 16 | A | 17 | A | 18 | C | 19 | D | 20 | C |
| 21 | B | 22 | D | 23 | A | 24 | B | 25 | B |
| 26 | A | 27 | C | 28 | C | 29 | B | 30 | B |
| 31 | C | 32 | D | 33 | C | 34 | A | 35 | C |
| 36 | B | 37 | A | 38 | B | 39 | C | 40 | C |
| Câu | Đ/a | Câu | Đ/a | Câu | Đ/a | Câu | Đ/a | Câu | Đ/a |
|---|---|---|---|---|---|---|---|---|---|
| 1 | A | 2 | C | 3 | D | 4 | B | 5 | B |
| 6 | A | 7 | D | 8 | C | 9 | B | 10 | D |
| 11 | B | 12 | D | 13 | B | 14 | C | 15 | A |
| 16 | A | 17 | D | 18 | D | 19 | B | 20 | A |
| 21 | D | 22 | C | 23 | B | 24 | A | 25 | A |
| 26 | C | 27 | B | 28 | C | 29 | B | 30 | C |
| 31 | B | 32 | D | 33 | B | 34 | D | 35 | A |
| 36 | B | 37 | A | 38 | D | 39 | C | 40 | D |
| Câu | Đ/a | Câu | Đ/a | Câu | Đ/a | Câu | Đ/a | Câu | Đ/a |
|---|---|---|---|---|---|---|---|---|---|
| 1 | D | 2 | D | 3 | A | 4 | A | 5 | B |
| 6 | D | 7 | B | 8 | B | 9 | D | 10 | C |
| 11 | A | 12 | A | 13 | C | 14 | B | 15 | B |
| 16 | C | 17 | A | 18 | C | 19 | C | 20 | D |
| 21 | D | 22 | A | 23 | A | 24 | B | 25 | C |
| 26 | B | 27 | D | 28 | B | 29 | C | 30 | D |
| 31 | D | 32 | A | 33 | D | 34 | C | 35 | C |
| 36 | A | 37 | B | 38 | C | 39 | C | 40 | D |
| Câu | Đ/a | Câu | Đ/a | Câu | Đ/a | Câu | Đ/a | Câu | Đ/a |
|---|---|---|---|---|---|---|---|---|---|
| 1 | C | 2 | A | 3 | B | 4 | D | 5 | C |
| 6 | C | 7 | D | 8 | A | 9 | C | 10 | D |
| 11 | B | 12 | A | 13 | C | 14 | C | 15 | B |
| 16 | D | 17 | C | 18 | A | 19 | B | 20 | A |
| 21 | B | 22 | D | 23 | B | 24 | A | 25 | D |
| 26 | A | 27 | C | 28 | D | 29 | B | 30 | D |
| 31 | A | 32 | D | 33 | C | 34 | B | 35 | B |
| 36 | D | 37 | B | 38 | D | 39 | D | 40 | A |
| Câu | Đ/a | Câu | Đ/a | Câu | Đ/a | Câu | Đ/a | Câu | Đ/a |
|---|---|---|---|---|---|---|---|---|---|
| 1 | D | 2 | D | 3 | C | 4 | A | 5 | D |
| 6 | D | 7 | B | 8 | C | 9 | A | 10 | A |
| 11 | C | 12 | C | 13 | B | 14 | A | 15 | A |
| 16 | B | 17 | B | 18 | A | 19 | D | 20 | B |
| 21 | B | 22 | A | 23 | C | 24 | D | 25 | C |
| 26 | D | 27 | C | 28 | B | 29 | D | 30 | C |
| 31 | D | 32 | A | 33 | C | 34 | B | 35 | B |
| 36 | A | 37 | B | 38 | D | 39 | C | 40 | C |
| Câu | Đ/a | Câu | Đ/a | Câu | Đ/a | Câu | Đ/a | Câu | Đ/a |
|---|---|---|---|---|---|---|---|---|---|
| 1 | B | 2 | A | 3 | D | 4 | C | 5 | D |
| 6 | D | 7 | B | 8 | B | 9 | D | 10 | A |
| 11 | A | 12 | D | 13 | 14 | 15 | |||
| 16 | 17 | 18 | 19 | 20 | |||||
| 21 | 22 | 23 | 24 | 25 | |||||
| 26 | 27 | 28 | 29 | 30 | |||||
| 31 | 32 | 33 | 34 | 35 | |||||
| 36 | 37 | 38 | 39 | 40 |
| Câu | Đ/a | Câu | Đ/a | Câu | Đ/a | Câu | Đ/a | Câu | Đ/a |
|---|---|---|---|---|---|---|---|---|---|
| 1 | B | 2 | A | 3 | B | 4 | D | 5 | C |
| 6 | D | 7 | B | 8 | A | 9 | C | 10 | A |
| 11 | C | 12 | B | 13 | D | 14 | A | 15 | D |
| 16 | C | 17 | A | 18 | D | 19 | B | 20 | B |
| 21 | D | 22 | D | 23 | B | 24 | A | 25 | A |
| 26 | C | 27 | C | 28 | B | 29 | A | 30 | C |
| 31 | C | 32 | C | 33 | B | 34 | D | 35 | C |
| 36 | B | 37 | C | 38 | A | 39 | B | 40 | D |
| Câu | Đ/a | Câu | Đ/a | Câu | Đ/a | Câu | Đ/a | Câu | Đ/a |
|---|---|---|---|---|---|---|---|---|---|
| 1 | C | 2 | D | 3 | A | 4 | C | 5 | B |
| 6 | C | 7 | D | 8 | B | 9 | D | 10 | C |
| 11 | B | 12 | D | 13 | A | 14 | D | 15 | C |
| 16 | B | 17 | D | 18 | A | 19 | A | 20 | B |
| 21 | C | 22 | C | 23 | B | 24 | B | 25 | A |
| 26 | D | 27 | A | 28 | C | 29 | B | 30 | A |
| 31 | A | 32 | D | 33 | B | 34 | C | 35 | D |
| 36 | A | 37 | B | 38 | C | 39 | B | 40 | D |
| Câu | Đ/a | Câu | Đ/a | Câu | Đ/a | Câu | Đ/a | Câu | Đ/a |
|---|---|---|---|---|---|---|---|---|---|
| 1 | D | 2 | C | 3 | C | 4 | D | 5 | D |
| 6 | C | 7 | A | 8 | D | 9 | B | 10 | B |
| 11 | D | 12 | A | 13 | D | 14 | A | 15 | B |
| 16 | B | 17 | C | 18 | A | 19 | B | 20 | D |
| 21 | A | 22 | B | 23 | C | 24 | C | 25 | A |
| 26 | A | 27 | C | 28 | B | 29 | B | 30 | D |
| 31 | D | 32 | D | 33 | C | 34 | B | 35 | B |
| 36 | A | 37 | D | 38 | A | 39 | B | 40 | C |
| Câu | Đ/a | Câu | Đ/a | Câu | Đ/a | Câu | Đ/a | Câu | Đ/a |
|---|---|---|---|---|---|---|---|---|---|
| 1 | A | 2 | B | 3 | B | 4 | D | 5 | C |
| 6 | B | 7 | C | 8 | B | 9 | B | 10 | A |
| 11 | D | 12 | B | 13 | A | 14 | C | 15 | D |
| 16 | B | 17 | A | 18 | C | 19 | D | 20 | C |
| 21 | A | 22 | C | 23 | C | 24 | D | 25 | A |
| 26 | A | 27 | D | 28 | D | 29 | C | 30 | A |
| 31 | B | 32 | B | 33 | A | 34 | C | 35 | A |
| 36 | A | 37 | B | 38 | B | 39 | D | 40 | C |




Theo Nghị định 147/2024/ND-CP, bạn cần xác thực tài khoản trước khi sử dụng tính năng này. Chúng tôi sẽ gửi mã xác thực qua SMS hoặc Zalo tới số điện thoại mà bạn nhập dưới đây: