Hỗ trợ tư vấn
Tư vấn - Giải đáp - Hỗ trợ đặt tài liệu
Mua gói Pro để tải file trên Download.vn (không bao gồm tài liệu cao cấp) và trải nghiệm website không quảng cáo
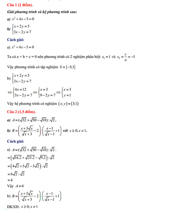
Tìm hiểu thêm »Đáp án đề thi vào lớp 10 môn Toán sở GD&ĐT Bình Thuận năm 2025 - 2026 giúp các em học sinh tham khảo để dễ dàng so sánh với kết quả bài thi vào lớp 10 của mình thuận tiện hơn.
Kỳ thi tuyển sinh vào lớp 10 THPT năm học 2025 - 2026 của Bình Thuận sẽ diễn ra với 3 môn thi gồm Toán, Tiếng Anh, Ngữ văn. Học sinh thi tuyển vào lớp 10 các trường THPT công lập trong tỉnh được tổ chức vào các ngày 03 - 04/6/2025, môn Toán thi sáng 4/6, với thời gian làm bài là 120 phút. Vậy mời các em cùng theo dõi bài viết dưới đây của Download.vn:
>> Tiếp tục cập nhật






Theo Nghị định 147/2024/ND-CP, bạn cần xác thực tài khoản trước khi sử dụng tính năng này. Chúng tôi sẽ gửi mã xác thực qua SMS hoặc Zalo tới số điện thoại mà bạn nhập dưới đây: