Hỗ trợ tư vấn
Tư vấn - Giải đáp - Hỗ trợ đặt tài liệu
Mua gói Pro để tải file trên Download.vn và trải nghiệm website không quảng cáo
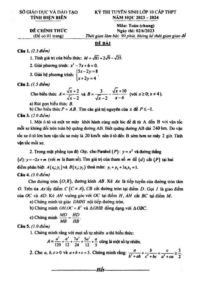
Tìm hiểu thêm »Đáp án đề thi vào lớp 10 môn Toán năm 2025 - 2026 sở GD&ĐT Điện Biên giúp các em học sinh lớp 9 tham khảo, dễ dàng so sánh với kết quả của mình được thuận tiện hơn.
Kỳ thi tuyển sinh vào lớp 10 tại Điện Biên sẽ diễn ra trong hai ngày 28 - 29/5 với hơn 9.300 thí sinh đăng ký dự thi tại 32 điểm thi. Đề thi vào lớp 10 môn Toán Điện Biên gồm 120 phút với cấu trúc tự luận 100%. Với đáp án đề thi vào 10 môn Toán Điện Biên sẽ giúp các em thuận tiện so sánh đáp án với bài làm của mình. Từ đó dễ dàng nắm được số điểm mình đạt được. Bên cạnh đó, có thể tham khảo thêm đề thi môn Tiếng Anh.
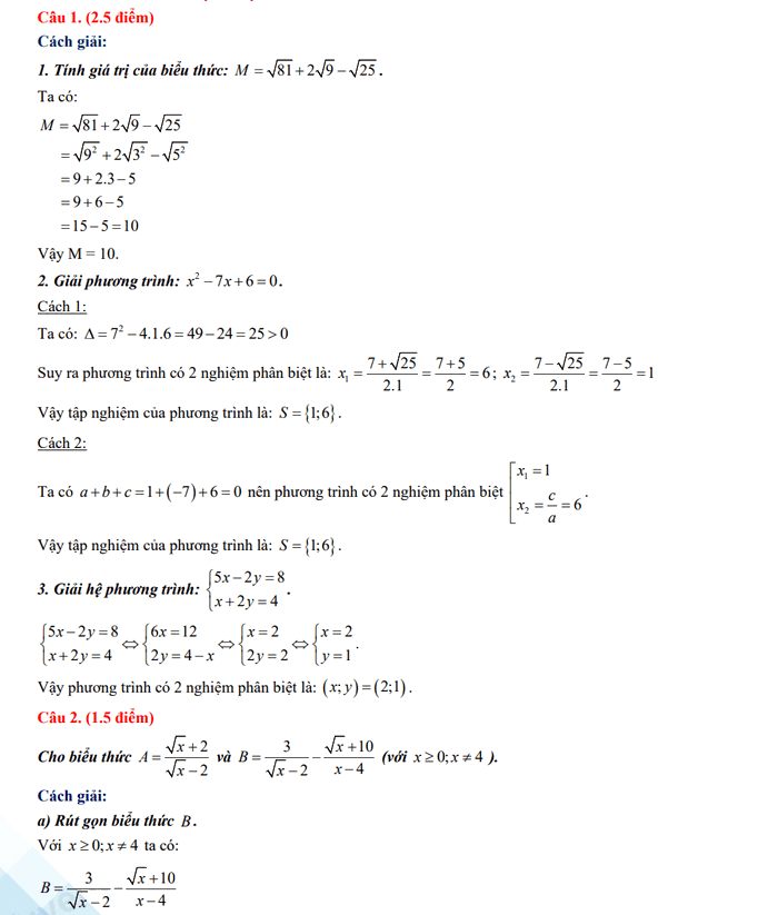
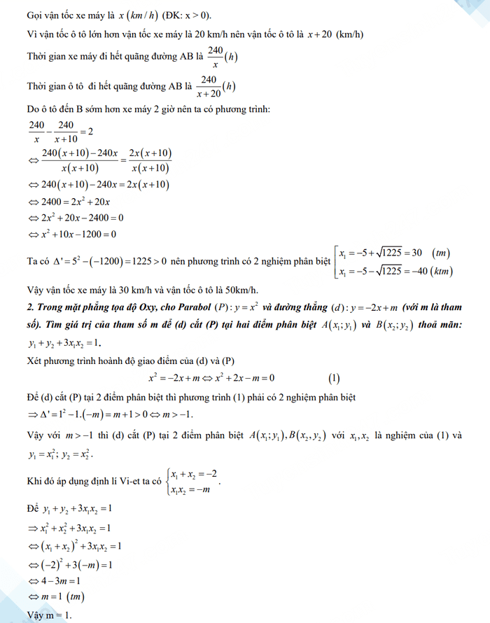
>> Đang cập nhật







Theo Nghị định 147/2024/ND-CP, bạn cần xác thực tài khoản trước khi sử dụng tính năng này. Chúng tôi sẽ gửi mã xác thực qua SMS hoặc Zalo tới số điện thoại mà bạn nhập dưới đây:
Mở khóa quyền truy cập vào hàng ngàn tài liệu độc quyền và nhận hỗ trợ nhanh chóng từ đội ngũ của chúng tôi.