Hỗ trợ tư vấn
Tư vấn - Giải đáp - Hỗ trợ đặt tài liệu
Mua gói Pro để tải file trên Download.vn (không bao gồm tài liệu cao cấp) và trải nghiệm website không quảng cáo
Tìm hiểu thêm »Giải bài tập SGK Toán 7 Tập 2 trang 31, 32, 33 sách Kết nối tri thức với cuộc sống giúp các em học sinh lớp 7 xem gợi ý giải các bài tập của Bài 26: Phép cộng và phép trừ đa thức một biến.
Thông qua đó, các em sẽ biết cách giải toàn bộ các bài tập của bài 26 Chương VII - Biểu thức đại số và đa thức một biến trong sách giáo khoa Toán 7 Tập 2 Kết nối tri thức với cuộc sống. Đồng thời, cũng giúp thầy cô tham khảo để soạn giáo án cho học sinh của mình theo chương trình mới. Vậy mời thầy cô và các em cùng theo dõi bài viết dưới đây của Download.vn nhé:
Tìm tổng của hai đa thức sau bằng cách nhóm các hạng tử cùng bậc:
x2 – 3x + 2 và 4x3 – x2 + x - 1
Gợi ý đáp án:
Ta có: (x2 – 3x + 2) + (4x3 – x2 + x – 1)
= x2 – 3x + 2 + 4x3 – x2 + x - 1
= 4x3 + (x2 – x2 ) + (-3x + x) + (2 – 1)
= 4x3 – 2x + 1
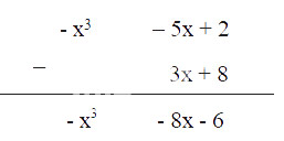
Tìm hiệu sau theo cách đặt tính trừ: (- x 3 – 5x + 2) – (3x + 8)
Gợi ý đáp án:

Cho hai đa thức:
\(A = 6{x^4} - 4{x^3} + x - \dfrac{1}{3};B = - 3{x^4} - 2{x^3} - 5{x^2} + x + \dfrac{2}{3}\)
Tính A + B và A - B
Gợi ý đáp án:
\(A + B = 6x^4 – 4x^3 + x - \frac{1}{3} + (-3x^4 – 2x^3 – 5x^2 + x + \frac{2}{3})\)
\(= 6x^4 – 4x^3 + x - \frac{1}{3} - 3x^4 – 2x^3 – 5x^2 + x + \frac{2}{3}\)
\(= (6x^4 – 3x^4) + (-4x^3 – 2x^3) – 5x^2 + (x + x) + (- \frac{1}{3} + \frac{2}{3})\)
\(= 3x^4 - 6x^3 – 5x^2 + 2x + \frac{1}{3}\)
\(A - B = 6x^4 – 4x^3 + x - \frac{1}{3} - (-3x^4 – 2x^3 – 5x^2 + x + \frac{2}{3})\)
\(= 6x^4 – 4x^3 + x - \frac{1}{3} + 3x^4 + 2x^3 + 5x^2 - x - \frac{2}{3}\)
\(= (6x^4 + 3x^4) + (-4x^3 + 2x^3) + 5x^2 + (x - x) + (- \frac{1}{3} - \frac{2}{3})\)
\(= 9x^4 - 2x^3 + 5x^2 - 1\)
Cho hai đa thức:
\(A = 3x^4 – 2x^3 – x + 1\)
\(B = -2x^3 + 4x^2 + 5x\)
\(C = -3x^4 + 2x^2 + 5\)
Tính A + B + C; A – B + C và A – B - C
Gợi ý đáp án:
A + B + C
\(= 3x^4 – 2x^3 – x + 1 + (-2x^3 + 4x^2 + 5x) + (-3x^4 + 2x^2 + 5)\)
\(= 3x^4 – 2x^3 – x + 1 - 2x^3 + 4x^2 + 5x - 3x^4 + 2x^2 + 5\)
\(= (3x^4 – 3x^4) + (-2x^3 – 2x^3) + (4x^2 + 2x^2) + (-x + 5x) + (1 + 5)\)
\(= – 4x^3 + 6x^2 + 4x + 6\)
A – B
\(= 3x^4 – 2x^3 – x + 1 - (-2x^3 + 4x^2 + 5x)\)
\(= 3x^4 – 2x^3 – x + 1 + 2x^3 - 4x^2 - 5x\)
\(= 3x^4 + (-2x^3 + 2x^3) – 4x^2 + (-x – 5x) + 1\)
\(= 3x^4 - 4x^2 - 6x + 1\)
A - B - C
\(= 3x^4 – 4x^2 – 6x + 1 - (-3x^4 + 2x^2 + 5)\)
\(= 3x^4 – 4x^2 – 6x + 1 + 3x^4 - 2x^2 - 5\)
\(= (3x^4 + 3x^4) + (-4x^2 – 2x^2) – 6x + (1 – 5)\)
\(= 6x^4 - 6x^2 - 6x - 4\)
Bạn Nam được phân công mua một số sách làm quà tặng trong buổi tổng kết cuối năm học của lớp. Nam dự định mua ba loại sách với giá bán như bảng sau. Giả sử Nam cần mua x cuốn sách khoa học, x + 8 cuốn sách tham khảo và x + 5 cuốn truyện tranh.
| Loại sách | Giá bán một cuốn (đồng) |
| Truyện tranh | 15 000 |
| Sách tham khảo | 12 500 |
| Sách khóa học | 21 500 |
a) Viết các đa thức biểu thị số tiền Nam phải trả cho từng loại sách.
b) Tìm đa thức biểu thị tổng số tiền Nam phải trả để mua số sách đó.
Gợi ý đáp án:
a) Đa thức biểu thị số tiền Nam phải trả cho truyện tranh là: A = (x +5). 15 000 = 15 000x + 75 000 (đồng)
Đa thức biểu thị số tiền Nam phải trả cho sách tham khảo là: B = (x + 8) . 12 500 = 12 500x + 100 000 (đồng)
Đa thức biểu thị số tiền Nam phải trả cho sách khoa học là: C = x . 21 500 (đồng)
b) Đa thức biểu thị tổng số tiền Nam phải trả để mua số sách đó là:
P = A + B + C = = 15 000x + 75 000 + 12 500x + 100 000 + x . 21 500
= (15 000 + 12 500 + 21 500)x + (75 000 + 100 000)
= 49 000x + 175 000 (đồng)
Trên một mảnh đất hình chữ nhật có chiều dài 65 m, người ta định làm một bể bơi có chiều rộng là x nét, chiều dài gấp 3 lần chiều rộng. Sơ đồ và kích thước cụ thể (tính bằng mét) đươc cho trong Hình 7.1. Tìm đa thức ( biến x):
a) Biểu thị diện tích bể bơi
b) Biểu thị diện tích mảnh đất
c) Biểu thị diện tích phần đất xung quanh bể bơi.

Gợi ý đáp án:
a) Bể bơi có chiều dài là 3x, chiều rộng là x nên đa thức biểu thị diện tích bể bơi là:
B = 3x. x = 3.x2
b) Mảnh đất có chiều dài là 65, chiều rộng là 5 + x + 4 = x + 9 nên đa thức biểu thị diện tích mảnh đất là:
D = 65. (x+9) = 65x + 585
c) Diện tích xung quanh bể bơi = diện tích mảnh đất – diện tích bể bơi nên đa thức biểu thị diện tích phần đất xung quanh bể bơi là:
Q = D – B = 65x + 585 - 3.x2 = -3.x2 +65x + 585
Theo Nghị định 147/2024/ND-CP, bạn cần xác thực tài khoản trước khi sử dụng tính năng này. Chúng tôi sẽ gửi mã xác thực qua SMS hoặc Zalo tới số điện thoại mà bạn nhập dưới đây: