Hỗ trợ tư vấn
Tư vấn - Giải đáp - Hỗ trợ đặt tài liệu
Mua gói Pro để tải file trên Download.vn (không bao gồm tài liệu cao cấp) và trải nghiệm website không quảng cáo
Tìm hiểu thêm »Toán 7 Bài tập cuối chương VII giúp các em học sinh lớp 7 tham khảo, biết cách giải toàn bộ các bài tập SGK Toán 7 Tập 2 trang 46 sách Kết nối tri thức với cuộc sống.
Với lời giải chi tiết bài tập Toán 7 này, còn giúp các em học sinh ôn tập và củng cố các dạng bài tập trong Chương 7 - Biểu thức đại số và đa thức một biến, cũng như rèn luyện kỹ năng giải môn Toán thật tốt. Nhờ đó, sẽ đạt kết quả cao trong các bài kiểm tra, bài thi sắp tới. Chi tiết mời các em cùng theo dõi bài viết dưới đây của Download.vn:
Một hãng taxi quy định giá cước như sau: 0,5 km đầu tiên giá 8 000 đồng; tiếp theo cứ mỗi kilomet giá 11 000 đồng. Giả sử một người thuê xe đi x (km)
a) Chứng tỏ rằng biểu thức biểu thị số tiền mà người đó phải trả là một đa thức. Tìm bậc, hệ số cao nhất và hệ số tự do của đa thức đó.
b) Giá trị của đa thức tại x = 9 nói lên điều gì?
Gợi ý đáp án:
a) 0,5 km, người đó phải trả: 8 000 (đồng)
Quãng đường còn lại người đó phải đi là: x – 0,5 (km)
Trong x – 0,5 km đó, người đó phải trả: (x – 0,5). 11 000 ( đồng)
Đa thức biểu thị số tiền mà người đó phải trả là:
T(x) = 8 000 + (x – 0,5). 11 000
= 8 000 + x . 11 000 – 0,5 . 11 000
= 8 000 + 11 000 . x – 5 500
= 11 000 .x + 2 500
Bậc của đa thức là: 1
Hệ số cao nhất: 11 000
Hệ số tự do: 2 500
b) Thay x = 9 vào đa thức T(x), ta được:
T(9) = 11 000 . 9 + 2 500 = 101 500
Giá trị này nói lên số tiền mà người đó phải trả khi đi 9 km là 101 500 đồng
Cho đa thức bậc hai F(x) = ax 2 + bx + c, trong đó, a, b và c là những số với a ≠ 0
a) Cho biết a + b + c = 0. Giải thích tại sao x = 1 là một nghiệm của F(x)
b) Áp dụng, hãy tìm một nghiệm của đa thức bậc hai 2x2 – 5x + 3
Gợi ý đáp án:
a) Thay x = 1 vào đa thức F(x), ta có:
F(1) = a.12 + b.1 + c = a+ b + c
Mà a + b + c = 0
Do đó, F(1) = 0. Như vậy x = 1 là một nghiệm của F(x)
b) Ta có: Đa thức 2x2 – 5x + 3 có a = 2 ; b = -5; c = 3 nên a + b + c = 2 + (-5) + 3 = 0
Do đó, đa thức có 1 nghiệm là x = 1
Cho đa thức A = x4 + x3 – 2x – 2
a) Tìm đa thức B sao cho A + B = x3 + 3x + 1
b) Tìm đa thức C sao cho A – C = x5
c) Tìm đa thức D biết rằng D = (2x3 – 3) . A
d) Tìm đa thức P sao cho A = (x+1) . P
e) Có hay không một đa thức Q sao cho A = (x2 + 1) . Q?
Gợi ý đáp án:
a) Ta có:
B = (A + B) – A
= (x3 + 3x + 1) – (x4 + x3 – 2x – 2)
= x3 + 3x + 1 – x4 - x3 + 2x + 2
= – x4 + (x3 – x3) + (3x + 2x) + (1 + 2)
= – x4 + 5x + 3
b) C = (A – C) – A
= x5 – (x4 + x3 – 2x – 2)
= x5 – x4 - x3 + 2x + 2)
c) D = (2x3 – 3) . A
= (2x3 – 3) . (x4 + x3 – 2x – 2)
= 2x3 . (x4 + x3 – 2x – 2) + (-3) .(x4 + x3 – 2x – 2)
= 2x3 . x4 + 2x3 . x3 + 2x3 . (-2x) + 2x3 . (-2) + (-3). x4 + (-3) . x3 + (-3). (-2x) + (-3). (-2)
= 2x7 + 2x6 – 4x4 – 4x3 – 3x4 – 3x3 + 6x + 6
= 2x7 + 2x6 + (-4x4 – 3x4) + (-4x3 – 3x3) + 6x + 6
= 2x7 + 2x6 – 7x4 – 7x3 + 6x + 6
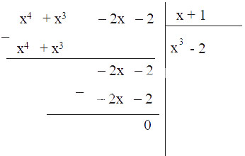
d) P = A : (x+1) = (x4 + x3 – 2x – 2) : (x + 1)

Vậy P = x3 - 2
e) Q = A : (x2 + 1)
Nếu A chia cho đa thức x2 + 1 không dư thì có một đa thức Q thỏa mãn
Ta thực hiện phép chia (x4 + x3 – 2x – 2) : (x2 + 1)

Do phép chia có dư nên không tồn tại đa thức Q thỏa mãn.
Cho đa thức P(x). Giải thích tại sao nếu có đa thức Q(x) sao cho P(x) = (x – 3) . Q(x) (tức là P(x) chia hết cho x – 3) thì x = 3 là một nghiệm của P(x)
Gợi ý đáp án:
Vì tại x = 3 thì P(x) = (3 – 3) . Q(x) = 0. Q(x) = 0 nên x = 3 là một nghiệm của đa thức P(x)
Hai bạn Tròn và Vuông tranh luận với nhau như sau:

Hãy cho biết ý kiến của em và nêu một ví dụ minh họa.
Gợi ý đáp án:
Tròn đúng, Vuông sai vì tổng của các đa thức là một đa thức có bậc không lớn hơn bậc của các đa thức thành phần
Đa thức M(x) = x3 + 1 có thể viết được thành tổng của hai đa thức bậc 4 có hệ số cao nhất là 2 số đối nhau.
Ví dụ:
x3 + 1 = (x4 + 1) + (-x4 + x3)
Theo Nghị định 147/2024/ND-CP, bạn cần xác thực tài khoản trước khi sử dụng tính năng này. Chúng tôi sẽ gửi mã xác thực qua SMS hoặc Zalo tới số điện thoại mà bạn nhập dưới đây: