Hỗ trợ tư vấn
Tư vấn - Giải đáp - Hỗ trợ đặt tài liệu
Mua gói Pro để tải file trên Download.vn (không bao gồm tài liệu cao cấp) và trải nghiệm website không quảng cáo
Tìm hiểu thêm »Giải bài tập Toán lớp 7 Luyện tập chung với lời giải chi tiết, rõ ràng theo khung chương trình sách giáo khoa Toán 7 Tập 2 Kết nối tri thức với cuộc sống trang 44, 45. Qua đó, giúp các em ôn tập và củng cố các dạng bài tập, rèn luyện kỹ năng giải môn Toán.
Giải Toán 7 chi tiết, còn giúp các em hệ thống lại toàn bộ kiến thức trọng tâm của Luyện tập chung Chương VII. Biểu thức đại số và đa thức một biến. Bên cạnh đó, cũng giúp thầy cô soạn giáo án cho học sinh của mình. Vậy mời thầy cô và các em cùng theo dõi bài viết dưới đây của Download.vn:
Rút gọn biểu thức sau:
(5x3 – 4x2) : 2x2 + (3x4 + 6x) : 3x – x(x2 – 1)
Phương pháp giải:
+) Muốn chia đa thức cho đơn thức, ta chia từng hạng tử của đa thức cho đơn thức rồi tổng các kết quả thu được.
+) Muốn nhân một đơn thức với một đa thức, ta nhân đơn thức với từng hạng tử của đa thức rồi cộng các tích với nhau
Gợi ý đáp án:
(5x3 – 4x2) : 2x2 + (3x4 + 6x) : 3x – x(x2 – 1)
= 5x3 : 2x2 + (-4x2 : 2x2) + 3x4 : 3x + 6x : 3x – [x. x2 + x . (-1)]
= (5:2) . (x3 : x2) + [(-4) : 2] . (x2 : x2) + (3 : 3) . (x4 : x) + (6 : 3). (x:x) – ( x3 – x)
\(= \dfrac{5}{2}x – 2 + x3 + 2 – x3 + x\)
\(= (x3 – x3) + (\dfrac{5}{2}x + x) + (-2 + 2)\)
\(= 0 + \dfrac{7}{2}x + 0\)
\(= \dfrac{7}{2}x\)
Rút gọn các biểu thức sau:
a) 2x(x+3) – 3x2(x+2) + x(3x2 + 4x – 6)
b) 3x(2x2 – x) – 2x2(3x+1) + 5(x2 – 1)
Phương pháp giải:
Bước 1: Nhân đơn thức với đa thức: Muốn nhân một đơn thức với một đa thức, ta nhân đơn thức với từng hạng tử của đa thức rồi cộng các tích với nhau.
Bước 2: Cộng, trừ các đa thức thu được
Gợi ý đáp án:
a) 2x(x+3) – 3x2(x+2) + x(3x2 + 4x – 6)
= (2x . x + 2x . 3) – (3x2 . x + 3x2 . 2) + (x . 3x2 + x . 4x – x . 6)
= 2x2 + 6x – (3x3 + 6x2) + (3x3 + 4x2 - 6x)
= 2x2 + 6x – 3x3 – 6x2 + 3x3 + 4x2 - 6x
= (– 3x3 + 3x3 ) + (2x2 - 6x2 + 4x2 ) + (6x – 6x)
= 0 + 0 + 0
= 0
b) 3x(2x2 – x) – 2x2(3x+1) + 5(x2 – 1)
= [3x . 2x2 + 3x . (-x)] – (2x2 . 3x + 2x2 . 1) + [5x2 + 5 . (-1)]
= 6x3 – 3x2 – (6x3 +2x2) + 5x2 – 5
= 6x3 – 3x2 – 6x3 - 2x2 + 5x2 – 5
= (6x3 – 6x3 ) + (-3x2 – 2x2 + 5x2) – 5
= 0 + 0 – 5
= - 5
Tìm giá trị của x biết rằng:
a) 3x2 – 3x(x – 2) = 36
b) 5x(4x2 – 2x + 1) – 2x(10x2 – 5x + 2) = -36
Phương pháp giải:
Rút gọn đa thức ở vế trái để đưa về bài toán tìm x quen thuộc.
Gợi ý đáp án:
\(\begin{array}{l}a){\rm{ }}3{x^2}--{\rm{ }}3x\left( {x{\rm{ }}--{\rm{ }}2} \right){\rm{ }} = {\rm{ }}36\\ \Leftrightarrow 3{x^2}--{\rm{ [}}3x.x + 3x.( - 2)] = 36\\ \Leftrightarrow 3{x^2} - (3{x^2} - 6x) = 36\\ \Leftrightarrow 3{x^2} - 3{x^2} + 6x = 36\\ \Leftrightarrow 6x = 36\\ \Leftrightarrow x = 36:6\\ \Leftrightarrow x = 6\end{array}\)
Vậy x = 6
\(\begin{array}{l}b){\rm{ }}5x\left( {4{x^2}--{\rm{ }}2x{\rm{ }} + {\rm{ }}1} \right){\rm{ }}--{\rm{ }}2x\left( {10{x^2}--{\rm{ }}5x{\rm{ }} + {\rm{ }}2} \right){\rm{ }} = {\rm{ }} - 36\\ \Leftrightarrow 5x.4{x^2} + 5x.( - 2x) + 5x.1 - [2x.10{x^2} + 2x.( - 5x) + 2x.2] = - 36\\ \Leftrightarrow 20{x^3} - 10{x^2} + 5x - (20{x^3} - 10{x^2} + 4x) = - 36\\ \Leftrightarrow 20{x^3} - 10{x^2} + 5x - 20{x^3} + 10{x^2} - 4x = - 36\\ \Leftrightarrow (20{x^3} - 20{x^3}) + ( - 10{x^2} + 10{x^2}) + (5x - 4x) = - 36\\ \Leftrightarrow x = - 36\end{array}\)
Vậy x = -36
Thực hiện các phép tính sau:
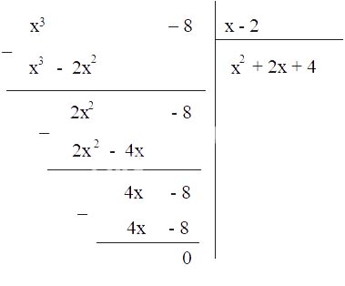
a) (x3 – 8) : (x – 2)
b) (x – 1)(x + 1)(x2 + 1)
Gợi ý đáp án:
a)

b) (x – 1)(x + 1)(x2 + 1)
= [x .(x + 1) – 1 .(x + 1)] . (x2 + 1)
= {x.x + x.1 + (-1).x + (-1).1}. (x2 + 1)
= (x2 + x – x – 1) . (x2 + 1)
= (x2 – 1) . (x2 + 1)
= x2 . (x2 +1) – 1.(x2 + 1)
= x2 . x2 + x2 . 1 – (1.x2 + 1.1)
= x4 + x2 – (x2 + 1)
= x4 + x2 – x2 – 1
= x4 – 1
Trong một trò chơi ở câu lạc bộ Toán học, chủ trò viết lên bảng biểu thức:
P(x) = x2 (7x – 5) – (28x5 – 20x4 – 12x3) : 4x2
Luật chơi là sau khi chủ trò đọc một số a nào đó, các đội chơi phải tìm giá trị của P(x) tại x = a. Đội nào tính đúng và tính nhanh nhất thì thắng cuộc.
Khi chủ trò vừa đọc a = 5, Vuông đã tính ngay được P(a) = 15 và thắng cuộc. Em có biết Vuông làm cách nào không?
Gợi ý đáp án:
P(x) = x2 (7x – 5) – (28x5 – 20x4 – 12x3) : 4x2
= x2 . 7x – x2 . 5 – ( 28x5 : 4x2 – 20x4 : 4x2 – 12x3 : 4x2)
= 7x3 – 5x2 – (7x3 – 5x2 – 3x)
= 7x3 – 5x2 – 7x3 + 5x2 +3x
= (7x3 - 7x3 ) + (– 5x2 + 5x2 ) + 3x
= 0 +0 + 3x
=3x
Khi x = 5 thì P(5) = 3 . 5 =15
Vậy Vuông chỉ cần rút gọn biểu thức P(x), sau đó thay x = 5 vào P(x) đã rút gọn
Tìm số b sao cho đa thức x 3 – 3x 2 + 2x – b chia hết cho đa thức x – 3
Gợi ý đáp án:

Để x 3 – 3x 2 + 2x – b chia hết cho đa thức x – 3 thì –b + 6 = 0 hay b = 6
Theo Nghị định 147/2024/ND-CP, bạn cần xác thực tài khoản trước khi sử dụng tính năng này. Chúng tôi sẽ gửi mã xác thực qua SMS hoặc Zalo tới số điện thoại mà bạn nhập dưới đây: