Hỗ trợ tư vấn
Tư vấn - Giải đáp - Hỗ trợ đặt tài liệu
Mua gói Pro để tải file trên Download.vn (không bao gồm tài liệu cao cấp) và trải nghiệm website không quảng cáo
Tìm hiểu thêm »Giải Toán lớp 7 Bài tập cuối chương 7 bao gồm đáp án chi tiết cho từng phần, từng bài tập trong SGK Toán 7 Tập 2 Chân trời sáng tạo trang 42.
Lời giải Toán 7 Chân trời sáng tạo trình bày khoa học, biên soạn dễ hiểu, giúp các em nâng cao kỹ năng giải Toán 7, từ đó học tốt môn Toán lớp 7 hơn. Đồng thời, cũng giúp thầy cô nhanh chóng soạn giáo án Bài tập cuối chương 7: Biểu thức đại số. Mời thầy cô và các em cùng theo dõi bài viết dưới đây của Download.vn:
Cho A = x2y + 2xy − 3y2 + 4. Tính giá trị của biểu thức A khi x = -2; y = 3.
Gợi ý đáp án:
Thay x = -2, y = 3 vào biểu thức A ta được:
\(A = (-2)^{2} \times 3 + 2 \times (-2) \times 3 - 3 \times 32 + 4\)
A = 4 x 3 + (-4) x 3 - 3 x 9 + 4
A = 12 - 12 - 27 + 4
A = -23
Vậy A = -23 khi x = -2, y = 3.
Trong các biểu thức sau, biểu thức nào là đơn thức một biến?
a) 2y
b) 3x+5
c) 8
d) 21t12
Gợi ý đáp án:
Biểu thức là đơn thức một biến là:
a) 2y
c) 8
d) 21t12
Trong các biểu thức sau, biểu thức nào là đa thức một biến?
3 + 6y;
\(\frac{2}{x+1}\);
7x2+2x−4x4+1
\(\frac{1}{3}x−5\)
Gợi ý đáp án:
Biểu thức là đa thức một biến:
3 + 6y;
7x2+2x−4x4+1
\(\frac{1}{3}x−5\)
Hãy viết một đa thức một biến bậc ba có 3 số hạng.
Gợi ý đáp án:
Có nhiều cách để viết một đa thức một biến bậc ba có 3 số hạng.
Chẳng hạn đa thức P(x) là đa thức một biến x bậc ba có 3 số hạng như sau:
\(P(x) = x^{3} + 3x^{2} + 1\).
Hãy cho biết bậc của các đa thức sau:
A = 3x − 4x2 + 1
B = 7
M = x − 7x3 + 10x4 + 2
Gợi ý đáp án:
Đa thức A bậc 2.
Đa thức B bậc 0.
Đa thức M bậc 4.
Cho đa thức
\(P(x) = x^{3}+27\). Tìm nghiệm của P(x) trong tập hợp {0; 3; -3}.
Gợi ý đáp án:
Với x = 0,
\(P(0) = 0^{3}+27 = 27\).
Với x = -3,
\(P(-3) = (-3)^{3}+27 = 0\).
Với x = 3,
\(P(3) = 3^{3}+27 = 54\).
Vậy x = -3 là nghiệm của đa thức P(x).
Tam giác trong hình 1 có chu vi bằng (25y - 8) cm. Tìm cạnh chưa biết trong tam giác đó.

Gợi ý đáp án:
Độ dài cạnh chưa biết trong tam giác là:
(25y - 8) - (5y + 3) - (7y - 4)
= 25y - 8 - 5y - 3 - 7y + 4
= (25y - 5y - 7y) + (-8 - 3 + 4)
= 13y - 7
Vậy độ dài cạnh còn lại trong tam giác đó là 13y - 7 cm.
Cho đa thức:
\(M(x) = 2x^{4} - 5x^{3} + 7x^{2} + 3x\).
Tìm các đa thức N(x), Q(x) sao cho:
\(N(x) - M(x) = -4x^{4} - 2x^{3} + 6x^{2} + 7\) và
\(Q(x) + M(x) = 6x^{5} - x^{4} + 3x^{2} - 2\).
Gợi ý đáp án:
Do
\(N(x) - M(x) = -4x^{4} - 2x^{3} + 6x^{2} + 7\)
nên
\(N(x) = M(x) + (-4x^{4} - 2x^{3} + 6x^{2} + 7)\)
N(x) =
\(2x^{4} - 5x^{3} + 7x^{2} + 3x - 4x^{4} - 2x^{3} + 6x^{2} + 7\)
N(x) =
\((2x^{4} - 4x^{4}) + (-5x^{3} - 2x^{3}) + (7x^{2} + 6x^{2}) + 3x + 7\)
N(x) =
\(-2x^{4} - 7x^{3} + 13x^{2} + 3x + 7\)
Do
\(Q(x) + M(x) = 6x^{5} - x^{4} + 3x^{2} - 2\) nên Q(x) =
\(6x^{5} - x^{4} + 3x^{2} - 2 - M(x)\)
Q(x) =
\(6x^{5} - x^{4} + 3x^{2} - 2 - (2x^{4} - 5x^{3} + 7x^{2} + 3x)\)
Q(x) =
\(6x^{5} - x^{4} + 3x^{2} - 2 - 2x^{4} + 5x^{3} - 7x^{2} - 3x\)
Q(x) =
\(6x^{5} + (-x^{4} - 2x^{4}) + 5x^{3} + (3x^{2} - 7x^{2}) - 3x - 2\)
Q(x) =
\(6x^{5} - 3x^{4} + 5x^{3} - 4x^{2} - 3x - 2\)
Vậy N(x) =
\(-2x^{4} - 7x^{3} + 13x^{2} + 3x + 7\); Q(x) =
\(6x^{5} - 3x^{4} + 5x^{3} - 4x^{2} - 3x - 2\).
Thực hiện phép nhân
a. (3x - 2)(4x + 5)
b.
\((x^{2} - 5x + 4)(6x + 1)\)
Gợi ý đáp án:
a)
\((3x - 2)(4x + 5)=3x(4x+5)-2(4x+5)\)
\(=12x^{2}+15x-8x-10=12x^{2}+7x-10\)
b)
\((x^{2} - 5x + 4)(6x + 1)=x^{2}(6x + 1)-5x(6x + 1)+4(6x + 1)\)
\(=6x^{3}+x^{2}-30x^{2}-5x+24x+4=6x^{3}-29x^{2}+19x+4\)
Thực hiện phép chia:
a)
\((45x^{5}-5x^{4}+10x^{2}):5x^{2}\);
b)
\((9t^{2}-3t^{4}+27t^{5}):(3t)\).
Gợi ý đáp án:
a)
\((45x^{5}-5x^{4}+10x^{2}):5x^{2}\)
\(=(45x^{5}:5x^{2})+(-5x^{4}:5x^{2})+(10x^{2}:5x^{2})\)
\(=9x^{3}-x^{2}+2\)
b)
\((9t^{2}-3t^{4}+27t^{5}):(3t)\)
\(=(9t^{2}:3t)+(-3t^{4}:3t)+(27t^{5}:3t)\)
\(=3t-t^{3}+9t^{4}\)
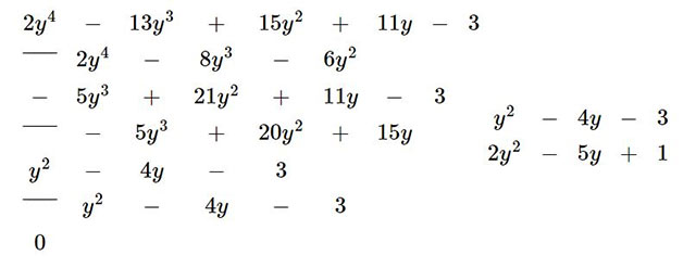
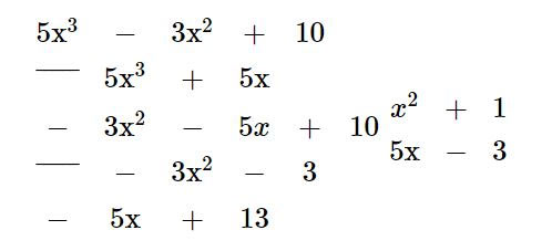
Thực hiện phép chia:
a)
\((2y^{4}-13y^{3}+15y^{2}+11y-3):(y^{2}-4y-3)\)
b)
\((5x^{3}-3x^{2}+10):(x^{2}+1)\)
Lời giải:
a) Thực hiện đặt phép chia ta được:

Vậy
\((2y^{4} - 13y^{3} + 15y^{2} + 11y - 3) \div (y^{2} - 4y - 3)\) =
\(2y^{2} - 5y + 1\).
b) Thực hiện phép chia ta được:

Theo Nghị định 147/2024/ND-CP, bạn cần xác thực tài khoản trước khi sử dụng tính năng này. Chúng tôi sẽ gửi mã xác thực qua SMS hoặc Zalo tới số điện thoại mà bạn nhập dưới đây: