Hỗ trợ tư vấn
Tư vấn - Giải đáp - Hỗ trợ đặt tài liệu
Mua gói Pro để tải file trên Download.vn (không bao gồm tài liệu cao cấp) và trải nghiệm website không quảng cáo
Tìm hiểu thêm »Giải Toán lớp 7 Bài 4: Định lí và chứng minh một định lí bao gồm đáp án chi tiết cho từng phần, từng bài tập trong SGK Toán 7 Tập 1 Chân trời sáng tạo trang 82, 83, 84.
Lời giải Toán 7 Bài 4 Chân trời sáng tạo trình bày khoa học, biên soạn dễ hiểu, giúp các em nâng cao kỹ năng giải Toán 7, từ đó học tốt môn Toán lớp 7 hơn. Đồng thời, cũng giúp thầy cô nhanh chóng soạn giáo án Bài 4 Chương 4 - Góc và đường thẳng song song. Vậy mời thầy cô và các em cùng theo dõi bài viết dưới đây của Download.vn:
Cho định lí: “Nếu hai đường thẳng xx’ và yy’ cắt nhau tại O và góc xOy vuông
\((\widehat {xOy}= 90^\circ )\) thì các góc
\(\widehat {yOx'},\widehat {x'Oy'},\widehat {y'Ox}\) đều là góc vuông.
a) Hãy vẽ hình thể hiện định lí trên
b) Viết giả thiết, kết luận của định lí
Gợi ý đáp án:
a)

b)

Hãy viết giả thiết, kết luận bằng kí hiệu và chứng minh định lí: “ Hai góc cùng bù một góc thứ 3 thì bằng nhau”.
Gợi ý đáp án:

Giả sử
\(\widehat {{O_1}},\widehat {{O_3}}\) cùng bù với góc
\(\widehat {{O_2}}\). Ta được:
\(\widehat {{O_1}} + \widehat {{O_2}} = 180^\circ\) ;
\(\widehat {{O_3}} + \widehat {{O_2}} = 180^\circ\)
\(\Rightarrow \widehat {{O_1}} =180^\circ -\widehat {{O_2}}; \widehat {{O_3}}=180^\circ -\widehat {{O_2}}\)
Vẽ hình, viết giả thiết, kết luận của định lí: “Một đường thẳng vuông góc với một trong hai đường thẳng song song thì nó cũng vuông góc với đường thẳng còn lại”.
Gợi ý đáp án:

Giả sử cho 2 đường thẳng song song a và b, đường thẳng c vuông góc với a. Ta phải chứng minh c cũng vuông góc với b.
Thật vậy,
Vì a//b nên
\(\widehat {{A_1}} = \widehat {{B_1}}\) (2 góc đồng vị), mà
\(\widehat {{A_1}} = 90^\circ\) nên
\(\widehat {{B_1}} = 90^\circ\) hay
\(b \bot c\)(đpcm)
Hãy phát biểu phần còn thiếu của kết luận sau:
a) Nếu một đường thẳng cắt hai đường thẳng song song thì hai góc so le trong .?…
b) Nếu hai đường thẳng phân biệt cùng vuông góc với một đường thẳng thứ ba thì .?..
Gợi ý đáp án:
a) Nếu một đường thẳng cắt hai đường thẳng song song thì hai góc so le trong bằng nhau (Tính chất 2 đường thẳng song song)
b) Nếu hai đường thẳng phân biệt cùng vuông góc với một đường thẳng thứ ba thì chúng song song với nhau (Dấu hiệu nhận biết hai đường thẳng song song)
Hãy phát biểu phần còn thiếu của kết luận sau:
a) Nếu một đường thẳng cắt hai đường thẳng sao cho có một cặp góc so le trong .?…thì hai đường thẳng đó song song.
b) Nếu hai đường thẳng phân biệt cùng ..?.. với một đường thẳng thứ ba thì chúng song song với nhau
Gợi ý đáp án:
a) Nếu một đường thẳng cắt hai đường thẳng sao cho có một cặp góc so le trong bằng nhau thì hai đường thẳng đó song song. (Dấu hiệu nhận biết hai đường thẳng song song)
b) Nếu hai đường thẳng phân biệt cùng vuông góc với một đường thẳng thứ ba thì chúng song song với nhau.
Hãy phát biểu định lí về hai đường thẳng phân biệt cùng song song với đường thẳng thứ ba.
Gợi ý đáp án:
Hai đường thẳng phân biệt cùng song song với đường thẳng thứ ba thì song song với nhau
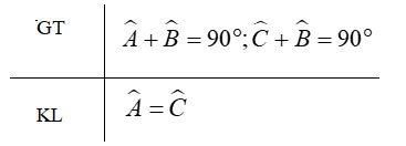
Ta gọi hai góc có tổng bằng
\(90 ^\circ\) là hai góc phụ nhau. Hãy viết giả thiết, kết luận bằng kí hiệu và chứng minh định lí: “ Hai góc cùng phụ một góc thứ 3 thì bằng nhau”
Gợi ý đáp án:

Giả sử
\(\widehat A,\widehat C\) cùng phụ với
\(\widehat B\). Ta được:
\(\widehat A + \widehat B = 90^\circ ;\widehat C + \widehat B = 90^\circ\)
\(\widehat A = 90^\circ - \widehat B;\widehat C = 90^\circ - \widehat B\)
\(\Rightarrow \widehat A = \widehat C\) (đpcm)
Theo Nghị định 147/2024/ND-CP, bạn cần xác thực tài khoản trước khi sử dụng tính năng này. Chúng tôi sẽ gửi mã xác thực qua SMS hoặc Zalo tới số điện thoại mà bạn nhập dưới đây: