Hỗ trợ tư vấn
Tư vấn - Giải đáp - Hỗ trợ đặt tài liệu
Mua gói Pro để tải file trên Download.vn (không bao gồm tài liệu cao cấp) và trải nghiệm website không quảng cáo
Tìm hiểu thêm »Giải bài tập SGK Toán 7 Tập 2 trang 37, 38, 39, 40 sách Chân trời sáng tạo giúp các em học sinh lớp 7 xem gợi ý giải các bài tập của Bài 4: Phép nhân và phép chia đa thức một biến.
Thông qua đó, các em sẽ biết cách giải toàn bộ các bài tập của bài 4 Chương 7 - Biểu thức đại số trong sách giáo khoa Toán 7 Tập 2 Chân trời sáng tạo. Đồng thời, cũng giúp thầy cô tham khảo để soạn giáo án cho học sinh của mình theo chương trình mới. Vậy mời thầy cô và các em cùng theo dõi bài viết dưới đây của Download.vn:
Thực hiện phép nhân
a) (4x - 3)(x + 2)
b)
\((5x +2)(-x^{2} + 3x +1)\)
c)
\((2x^{2}-7x+4)(-3x^{2}+6x+5)\)
Gợi ý đáp án:
a)
\((4x - 3)(x + 2) = 4x(x + 2) - 3(x + 2) = 4x^{2} + 5x - 6\)
b)
\((5x +2)(-x^{2} + 3x +1) = 5x.(-x^{2} + 3x +1) + 2(-x^{2} + 3x +1)\)
\(= -5x^{3} + 13x^{2} + 11x + 2\)
c)
\((2x^{2}-7x+4)(-3x^{2}+6x+5)\)
\(= 2x^{2}(-3x^{2}+6x+5) -7x(-3x^{2}+6x+5)+4(-3x^{2}+6x+5)\)
\(= -6x^{4}+33x^{3}-44x^{2}-11x+20\)
Cho hai hình chữ nhật như Hình 4. Tìm đa thức theo biến x biểu thị diện tích của phần được tô màu xanh.

Gợi ý đáp án:
Diện tích hình chữ nhật lớn là: (2x + 4)(3x + 2)
Diện tích hình chữ nhật bé là: x.(x + 1)
Diện tích phần được tô xanh là:
(2x+4)(3x+2) - x(x+1) = 2x(3x +2) + 4(3x + 2) - x(x+1) = 5x2 + 15x + 8 .
Thực hiện phép chia:
a.
\((8x^{6}-4x^{5}+12x^{4}-20x^{3}) : 4x^{3}\)
b.
\((2x^{2}-5x+3) : (2x-3)\)
Gợi ý đáp án:
a)
\((8x^{6}-4x^{5}+12x^{4}-20x^{3}) : 4x^{3} = (8x^{6}-4x^{5}+12x^{4}-20x^{3}) : 4x^{3}\)
\(= (8x^{6}:4x^{3})-(4x^{5}:4x^{3})+(12x^{4}: 4x^{3})-(20x^{3}: 4x^{3})=2x^{3}-x^{2}+3x-5\)
b)

Vậy
\((2x^{2}-5x+3) : (2x-3) = x - 1\)
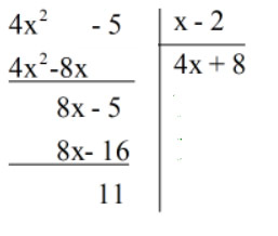
Thực hiện phép chia:
a.
\((4x^{2}-5) : (x-2)\)
b.
\((3x^{3}-7x+2) : (2x^{2}-3)\)
Gợi ý đáp án:
a)

Vậy
\((4x^{2}-5) : (x-2) = 4x+8\) dư 11.
b)

Vậy
\((3x^{3}-7x+2) : (2x^{2}-3) = \frac{3}{2}x\) dư
\(-\frac{5}{2}x+2\)
Tính chiều dài của một hình chữ nhật có diện tích bằng
\((4y^{2}+4y-3)cm^{2}\) và chiều rộng bằng (2y - 1) cm.
Gợi ý đáp án:
Chiều rộng của hình chữ nhật là:
\((4y^{2}+4y-3): (2y-1) = (2y + 3) cm\).
Cho hình hộp chữ nhật có thể tích bằng
\(3x^{3}+8x^{2}-45x-50 cm^{3}\), chiều dài bằng (x+5)cm và chiều cao bằng (x+1)cm. Hãy tính chiều rộng của hình hộp chữ nhật đó.
Gợi ý đáp án:
Chiều rộng của hình hộp chữ nhật là:
\((3x^{3}+8x^{2}-45x-50):\left [ (x+5)(x+1) \right ]\)
\(=(3x^{3}+8x^{2}-45x-50):(x^{2}+6x+5)= 3x-10\)
Theo Nghị định 147/2024/ND-CP, bạn cần xác thực tài khoản trước khi sử dụng tính năng này. Chúng tôi sẽ gửi mã xác thực qua SMS hoặc Zalo tới số điện thoại mà bạn nhập dưới đây: