Hỗ trợ tư vấn
Tư vấn - Giải đáp - Hỗ trợ đặt tài liệu
Mua gói Pro để tải file trên Download.vn (không bao gồm tài liệu cao cấp) và trải nghiệm website không quảng cáo
Tìm hiểu thêm »Khi nào công bố điểm thi lớp 10 Quảng Ninh? Điểm chuẩn vào 10 Quảng Ninh năm 2025 công bố khi nào? Đó chính là câu hỏi mà rất nhiều thí sinh băn khoăn tìm lời giải đáp khi kỳ thi tuyển vào lớp 10 năm 2025 - 2026 các trường THPT công lập trên địa bàn Quảng Ninh đã kết thúc ngày 01 - 02/6/2025.
Sau khi kết thúc kỳ thi thì việc tra cứu điểm thi vào lớp 10 Quảng Ninh, điểm chuẩn lớp 10 Quảng Ninh 2025 được các bậc phụ huynh và các em học sinh rất quan tâm. Vậy mời các bạn cùng theo dõi bài viết dưới đây của Download.vn:



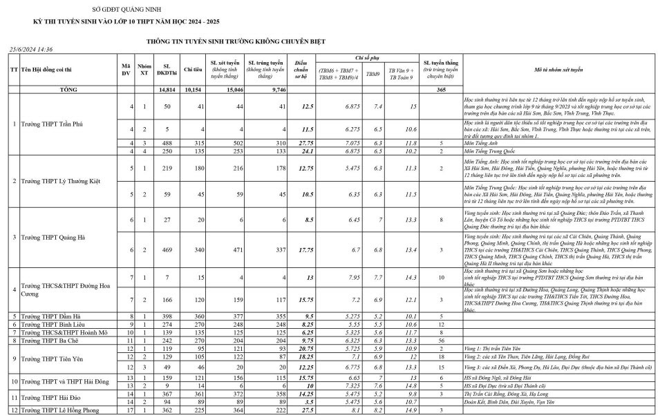
Điểm chuẩn Sơ bộ:




Cách nhanh nhất để biết điểm thi mà không cần internet là liên hệ tổng đài để được điện thoại viên thông báo kết quả. Bạn gọi đến số:
02031080
Cước phí gọi: 3.000đ/phút
Ngoài ra bạn còn có thể gọi đên số 020380115678 và thực hiện các bước theo hướng dẫn trên hệ thống.
Chỉ cần soạn theo cú pháp: V10 SỐ-BÁO-DANH gửi 8655 bạn sẽ nhận được ngay kết quả điểm thi của mình trong tích tắc.
Ví dụ: Muốn biết điểm thi có số báo danh 111111, bạn chỉ cần soạn theo cú pháp V10 111111 gửi 8655.




Thay vì công bố điểm chuẩn, năm nay Sở GD-ĐT Quảng Ninh để các trường công khai danh sách trúng tuyển sau khi lấy từ cao đến thấp cho đủ chỉ tiêu tuyển sinh đã đăng ký.
Trường “nóng” nhất tỉnh Quảng Ninh được dư luận quan tâm nhất là THPT Hòn Gai vừa công bố 484 học sinh trúng tuyển. Đây cũng là ngôi trường lấy điểm cao nhất toàn tỉnh Quảng Ninh, với học sinh thủ khoa là 43,75 điểm. Nhóm thí sinh đạt điểm trúng tuyển thấp nhất là 34,25 điểm.
Trong trường hợp thí sinh cùng được 34,25 điểm thì sẽ xét đến các chỉ số phụ là điểm trung bình từng năm ở cấp THCS. Năm nay, Trường THPT Hòn Gai có 12 thí sinh cùng 34,25 điểm bị loại khi có chỉ số phụ kém hơn.
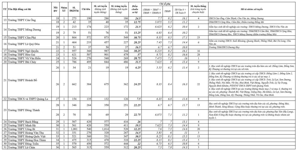
Trong khi đó, Trường THPT chuyên Hạ Long cũng công bố danh sách 470 học sinh trúng tuyển. Trong đó, điểm trúng tuyển lớp chuyên toán cao nhất là 41 điểm; chuyên Anh cao nhất là 45,25 điểm; chuyên văn cao nhất là 41 điểm.
Nhóm học sinh trúng tuyển có điểm số thấp nhất vào Trường THPT Ngô Quyền (TP. Hạ Long) là 27 điểm; THPT Bãi Cháy là 28,25 điểm; THPT Cẩm Phả là 30 điểm; THPT Uông Bí là 30,5 điểm.
| STT | TRƯỜNG | ĐIỂM CHUẨN SƠ BỘ |
| 1 | THPT Hòn Gai (Hạ Long) |
35 |
| 2 | THPT Cẩm Phả (Cẩm Phả) | 33 |
| 3 | THPT Uông Bí (Uông Bí) | 31.75 |
| 4 | THPT Hoàng Quốc Việt (Đông Triều) | 31.25 |
| 5 | THPT Bãi Cháy (Hạ Long) | 30 |
| STT | MÔN | ĐIỂM CHUẨN |
| 1 | Toán | 38.25 |
| 2 | Vật Lí | 35 |
| 3 | Hóa Học | 33.85 |
| 4 | Sinh Học | 34.25 |
| 5 |
Ngữ Văn |
36 |
| 6 | Lịch Sử | 26.25 |
| 7 | Địa Lí | 34.3 |
| 8 | Tiếng Anh | 39.3 |
| 9 | Tiếng Trung | 36.25 |
| 10 | Tin Học | 36.3 |
Theo Nghị định 147/2024/ND-CP, bạn cần xác thực tài khoản trước khi sử dụng tính năng này. Chúng tôi sẽ gửi mã xác thực qua SMS hoặc Zalo tới số điện thoại mà bạn nhập dưới đây: