Hỗ trợ tư vấn
Tư vấn - Giải đáp - Hỗ trợ đặt tài liệu
Mua gói Pro để tải file trên Download.vn (không bao gồm tài liệu cao cấp) và trải nghiệm website không quảng cáo
Tìm hiểu thêm »Khi nào công bố điểm thi lớp 10 Đắk Lắk? Điểm chuẩn vào 10 Đắk Lắk năm 2025 công bố khi nào? Đó chính là câu hỏi mà rất nhiều thí sinh băn khoăn tìm lời giải đáp khi kỳ thi tuyển vào lớp 10 năm 2025 - 2026 các trường THPT công lập trên địa bàn Đắk Lắk kết thúc ngày 05 - 06/6/2025.
Sau khi kết thúc kỳ thi thì việc tra cứu điểm thi vào lớp 10 Đắk Lắk, điểm chuẩn lớp 10 Đắk Lắk 2025 được các bậc phụ huynh và các em học sinh rất quan tâm. Vậy mời các bạn cùng theo dõi bài viết dưới đây của Download.vn nhé.
Sở GD&ĐT tỉnh Đắk Lắk vừa công bố điểm chuẩn vào lớp 10 năm học 2025 - 2026 cho các trường THPT chuyên, THPT công lập trên địa bàn như sau:
Trường THPT Chuyên Nguyễn Du có 350 học sinh trúng tuyển vào 10 lớp (35 học sinh/lớp); trong đó điểm chuẩn cao nhất là 39,25 điểm (lớp chuyên Ngữ văn), điểm chuẩn thấp nhất là 24,06 điểm (lớp chuyên tiếng Pháp).
Đối với Trường THPT Dân tộc nội trú N’ Trang Lơng (210 học sinh trúng tuyển) và Trường THPT Dân tộc nội trú Đam San (210 học sinh trúng tuyển) xét điểm chuẩn đối với học sinh là người dân tộc thiểu số tại chỗ theo địa bàn tuyển sinh; trong đó cao nhất là huyện Krông Năng 17 điểm, thấp nhất là huyện Krông Bông 12,5 điểm.



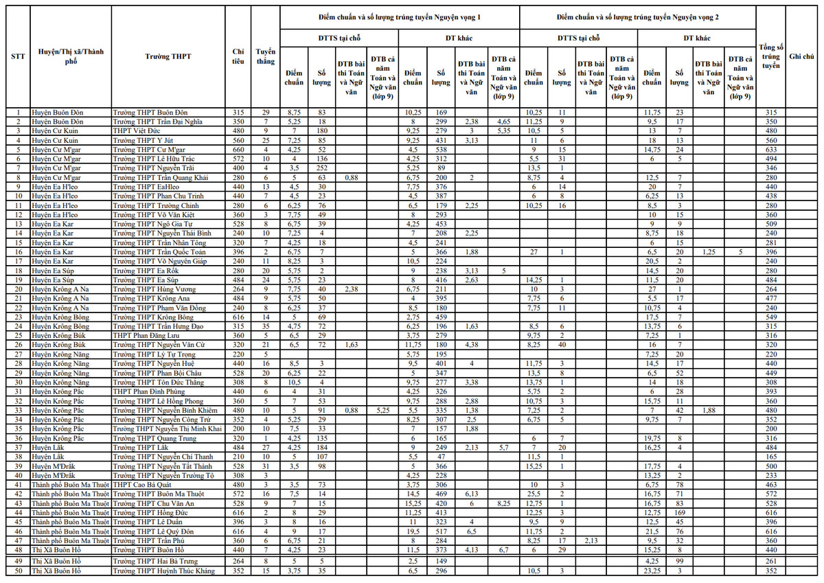
Điểm chuẩn và số lượng học sinh trúng tuyển vào lớp 10 năm học 2024-2025 của các trường trung học phổ thông công lập tổ chức thi tuyển như sau:
1. Trường THPT Buôn Ma Thuột
- Điểm chuẩn: 15,75 điểm;
- Số lượng học sinh trúng tuyển: 538.
2. Trường THPT Lê Quý Đôn
- Điểm chuẩn: 15,75 điểm;
- Số lượng học sinh trúng tuyển: 629.
3. Trường THPT Cư M’gar
- Điểm chuẩn: 6,0 điểm;
- Số lượng học sinh trúng tuyển: 532.
4. Trường THPT Ea H’leo
- Điểm chuẩn: 6,0 điểm;
- Số lượng học sinh trúng tuyển: 396.
5. Trường THPT Ngô Gia Tự
- Điểm chuẩn: 5,5 điểm;
- Số lượng học sinh trúng tuyển: 461.
6. Trường THPT Krông Ana
- Điểm chuẩn: 5,0 điểm;
- Số lượng học sinh trúng tuyển: 292.
7. Trường THPT Buôn Hồ
- Điểm chuẩn: 5,5 điểm;
- Số lượng học sinh trúng tuyển: 422.
8. Trường THPT Phan Bội Châu
- Điểm chuẩn: 5,5 điểm;
- Số lượng học sinh trúng tuyển: 261.
9. Trường THPT Nguyễn Bỉnh Khiêm
- Điểm chuẩn: 5,25 điểm;
- Số lượng học sinh trúng tuyển: 362.


| Lớp chuyên | Điểm chuẩn |
| Chuyên Ngữ Văn | 32,00 |
| Chuyên Lịch sử | 29,00. |
| Chuyên Địa lí |
31,25 Văn NV: 31,75 |
| Chuyên Tiếng Anh | 35,45 |
|
Chuyên Anh - Pháp - Tiếng Anh - Tiếng Pháp |
34,00 |
| 26,75 | |
| Chuyên Toán | 33,25 |
|
Chuyên Tin học - HS dự thi chuyên Tin - HS dự thi chuyên Toán có nguyện vọng 2 |
31,55 31,75 |
| Chuyên Vật lí | 35,00 |
| Chuyên Hóa học | |
|
Chuyên Sinh học - HS dự thi chuyên Hóa có nguyện vọng 2 |
31,75 32,63 |
| Không chuyên | 26,50 |
| STT | Trường | NV1 | NV2 | NV3 | Ghi chú |
| 1 | THPT Buôn Đôn | 28 | |||
| 2 | THPT Trần Đại Nghĩa | 28 | |||
| 3 | THPT Buôn Hồ | 32 | |||
| 4 | THPT Hai Bà Trưng | 24 | cho phép tuyển bổ sung | ||
| 5 | THPT Huỳnh Thúc Kháng | 29 | |||
| 6 | THPT Buôn Ma Thuột | 34 | |||
| 7 | THPT Cao Bá Quát | 21 | |||
| 8 | THPT Chu Văn An | 32 | |||
| 9 | THPT Hồng Đức | 30 | |||
| 10 | THPT Lê Duẩn | 28 | |||
| 11 | THPT Lê Quý Đôn | 33 | |||
| 12 | THPT Trần Phú | 27 | |||
| 13 | THPT Việt Đức | 23 | |||
| 14 | THPT Y Jút | 29 | |||
| 15 | THPT Cư M'gar | 28 | |||
| 16 | THPT Lê Hữu Trác | 21 | |||
| 17 | THPT Nguyễn Trãi | 23 | |||
| 18 | THPT Trần Quang Khải | 29 | |||
| 19 | THPT Ea H'leo | 26 | |||
| 20 | THPT Phan Chu Trinh | 29 | |||
| 21 | THPT Trường Chinh | 30 | |||
| 22 | THPT Võ Văn Kiệt | 23 | |||
| 23 | THPT Ngô Gia Tự | 28 | |||
| 24 | THPT Nguyễn Thái Bình | 26 | |||
| 25 | THPT Trần Nhân Tông | 20 | cho phép tuyển bổ sung | ||
| 26 | THPT Trần Quốc Toản | 27 | |||
| 27 | THPT Võ Nguyên Giáp | 31 | |||
| 28 | THPT Ea Rốk | 28 | |||
| 29 | THPT Ea Súp | 26 | |||
| 30 | THPT Hùng Vương | 28 | |||
| 31 | THPT Krông Ana | 28 | |||
| 32 | THPT Phạm Văn Đồng | 28 | |||
| 33 | THPT Krông Bông | 25 | |||
| 34 | THPT Trần Hưng Đạo | 27 | |||
| 35 | THPT Nguyễn Văn Cừ | 29 | |||
| 36 | THPT Phan Đăng Lưu | 26 | |||
| 37 | THPT Lý Tự Trọng | 22 | |||
| 38 | THPT Nguyễn Huệ | 32 | |||
| 39 | THPT Phan Bội Châu | 27 | |||
| 40 | THPT Tôn Đức Thắng | 33 | |||
| 41 | THPT Lê Hồng Phong | 31 | |||
| 42 | THPT Nguyễn Bỉnh Khiêm | 28 | |||
| 43 | THPT Nguyễn Công Trứ | 26 | |||
| 44 | THPT Nguyễn Thị Minh Khai | 31 | |||
| 45 | THPT Phan Đình Phùng | 28 | |||
| 46 | THPT Quang Trung | 25 | |||
| 47 | THPT Lắk | 30 | |||
| 48 | THPT Nguyễn Chí Thanh | 24 | cho phép tuyển bổ sung | ||
| 49 | THPT Nguyễn Tất Thành | 28 | |||
| 50 | THPT Nguyễn Trường Tộ | 23 | cho phép tuyển bổ sung |
| Lớp chuyên | Điểm chuẩn |
| Chuyên Ngữ Văn | 35.50 |
| Chuyên Lịch sử |
31.50 |
| Chuyên Địa lí |
34.50 |
| Chuyên Tiếng Anh | 35.20 |
| Chuyên Anh - Pháp | 30.90 (Anh) |
| 26.05 (Pháp) | |
| Chuyên Toán | 33.25 |
|
Chuyên Tin học - HS dự thi chuyên Tin - HS dự thi chuyên Toán - HS dự thi chuyên Toán có nguyện vọng 2 |
29.75 29.75 31.00 |
| Chuyên Vật lí | 33.00 |
| Chuyên Hóa học | 36.12 |
| Chuyên Sinh học |
33.20 NV2 từ chuyên Hóa 33.87 |
| Không chuyên | 26.70 |
| Đơn vị | Điểm chuẩn trúng tuyển | Số TS trúng tuyển |
| Buôn Hồ | 8.50 | 06 |
| Buôn Ma Thuột | 9.25 | 12 |
| Buôn Đôn | 9.25 | 07 |
| Cư Kuin | 11.75 | 02 |
| Cư M' gar | 8.00 | 16 |
| Ea H'Leo | 7.00 | 06 |
| Ea Kar | 10.75 | 02 |
| Ea Súp | HS bị điểm liệt | 0 |
| Krông Ana | 10.25 | 06 |
| Krông Bông | 9.75 | 02 |
| Krông Buk | 10.25 | 04 |
| Krông Năng | 8.50 | 06 |
| Krông Pắc | 8.50 | 04 |
| Lắk | 7.25 | 10 |
| M' đrăk | 8.25 | 04 |
| Dân tộc khác | 16.50 | 10 |
| Các dân tộc còn lại | 13.50 | 77 |
Theo Nghị định 147/2024/ND-CP, bạn cần xác thực tài khoản trước khi sử dụng tính năng này. Chúng tôi sẽ gửi mã xác thực qua SMS hoặc Zalo tới số điện thoại mà bạn nhập dưới đây: