Hỗ trợ tư vấn
Tư vấn - Giải đáp - Hỗ trợ đặt tài liệu
Mua gói Pro để tải file trên Download.vn (không bao gồm tài liệu cao cấp) và trải nghiệm website không quảng cáo
Tìm hiểu thêm »Điểm chuẩn vào 10 Hải Phòng năm 2025 - 2026 là bao nhiêu? Đây là câu hỏi được rất nhiều phụ huynh và các em học sinh quan tâm lúc này. Vì vậy hãy cùng Download.vn theo dõi bài viết dưới đây nhé.
Điểm chuẩn vao 10 Hải Phòng năm 2025 hay còn được gọi là điểm trúng tuyển là số điểm mà thí sinh phải đạt được để được nhận vào trường cấp 3 đăng ký xét tuyển. Điểm chuẩn vào 10 Hải Phòng dựa trên kết quả của tất cả các bài thi và cũng là tiêu chí duy nhất để các trường THPT chuyên và trường THPT chuyên xét tuyển. Vậy dưới đây là điểm chuẩn vào 10 Hải Phòng qua các năm mời các bạn theo dõi nhé.





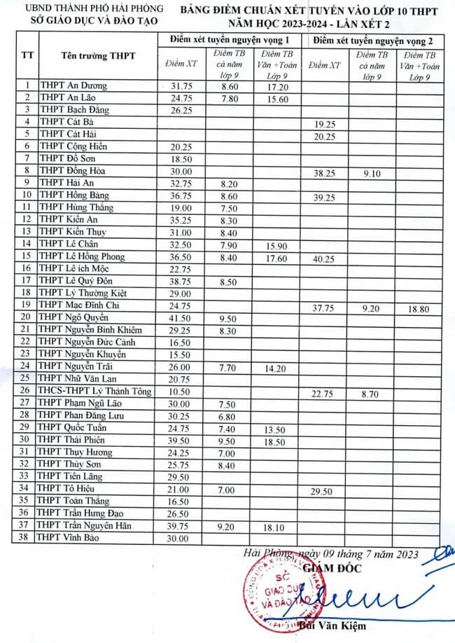
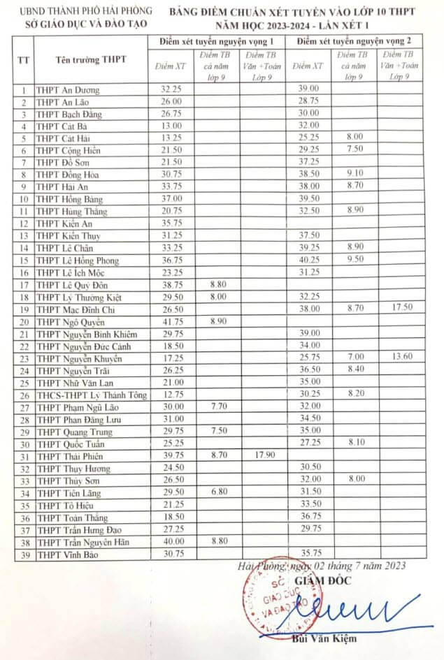
Cách tính điểm thi vào lớp 10 Hải Phòng năm 2023 được tính như sau:
Điểm xét tuyển = (Điểm thi môn Toán + Điểm thi môn Ngữ Văn) x 2 + Điểm thi môn Ngoại ngữ + Điểm ưu tiên
Các thí sinh chỉ được xét tuyển khi có đủ bài thi theo quy định, không vi phạm quy chế thi đến mức hủy kết quả thi, không có bài thi nào bị điểm 0.



| Tên trường | Điểm chuẩn NV1 | Điểm chuẩn NV2 |
| THPT An Dương | 31.00 | 37,10 |
| THPT An Lão | 32,50 | |
| THPT Bạch Đằng | 26,50 | 33,70 |
| THPT Các Bà | 16,60 | 26,00 |
| THPT Cát Hải | 19.00 | 32,30 |
| THPT Cộng Hiền | 13,70 | 32,10 |
| THPT Đồ Sơn | 23,20 | 34,20 |
| THPT Đồng Hoá | 27,50 | 37,40 |
| THPT Hải An | 31,60 | 39,60 |
| THPT Hồng Bàng | 34,60 | 39,30 |
| THPT Hùng Thắng | 12,50 | 29,40 |
| THPT Kiều An | 38,30 | |
| THPT Kiều Thuỵ | 33,49 | 38,10 |
| THPT Lê Chân | 30,80 | 39,60 |
| THPT Lê Hồng Phong | 34,40 | 39,30 |
| THPT Lê ích Mộc | 21,30 | 29,40 |
| THPT Lê Quý Đôn | 40,10 | |
| THPT Lý Thường Kiệt | 30,30 | 40,10 |
| THPT Mạc Đĩnh Chi | 25,50 | 38,10 |
| THPT Ngô Quyền | 40,80 | |
| THPT Nguyễn Bỉnh Khiêm | 24,70 | 33,80 |
| THPT Nguyễn Đức Cảnh | 18,10 | 25,10 |
| THPT Nguyễn Khuyến | 19,90 | 29,80 |
| THPT Nguyễn Trãi | 26,40 | 30,00 |
| THPT NHữ Văn Lan | 15,00 | 30,60 |
| THPT Nội Trú Đồ Sơn | 12,50 | 21,30 |
| THPT Phạm Ngũ Lão | 26,80 | |
| THPT Phan Đăng Lưu | 25,00 | 35,10 |
| THPT Quang Trung | 29,60 | 34,30 |
| THPT Quốc Tuấn | 26,10 | 31,40 |
| THPT Thái Phiên | 40,30 | |
| THPT Thuỵ Hương | 25,30 | 32,40 |
| THPT Thuỳ Sơn | 22,60 | 29,00 |
| THPT Tiên Lãng | 34,60 | 37,80 |
| THPT Tô Hiệu | 20,40 | 23,60 |
| THPT Toàn Thắng | 9,30 | 9,80 |
| THPT Trần Hưng Đạo | 25,80 | 31,50 |
| THPT Trần Nguyên Hãn | 39,70 | |
| THPT Vĩnh Bảo | 35,60 |

| STT | Trường | NV1 | NV2 | NV3 | Ghi chú |
| 1 | THPT An Dương | 29.7 | 36.5 | ||
| 2 | THPT An Lão | 30 | 32.5 | ||
| 3 | THPT Bạch Đằng | 23.3 | 27.7 | ||
| 4 | THPT Cát Bà | 18 | 29.4 | ||
| 5 | THPT Cát Hải | 16.1 | 25.7 | ||
| 6 | THPT Cộng Hiền | 8 | 8.2 | ||
| 7 | THPT Đồ Sơn | 23.9 | 31.9 | ||
| 8 | THPT Đồng Hòa | 25.1 | 36 | ||
| 9 | THPT Hải An | 33.6 | 35.7 | ||
| 10 | THPT Hồng Bàng | 33.6 | 35.7 | ||
| 11 | THPT Hùng Thắng | 13 | 16.2 | ||
| 12 | THPT Kiến An | 34.7 | 38.6 | ||
| 13 | THPT Kiến Thụy | 26.5 | 29.7 | ||
| 14 | THPT Lê Chân | 30.9 | 36.6 | ||
| 15 | THPT Lê Hồng Phong | 34.2 | 36.2 | ||
| 16 | THPT Lê ích Mộc | 16.8 | 22.8 | ||
| 17 | THPT Lê Quý Đôn | 36.8 | Điểm TB cả năm lớp 9 - 8.00 | ||
| 18 | THPT Lý Thường Kiệt | 24.6 | 32.9 | ||
| 19 | THPT Mạc Đĩnh Chi | 27 | 34.3 | ||
| 20 | THPT Ngô Quyền | 40.2 | Điểm TB cả năm lớp 9 - 8.8; Điểm TB văn + toán - 16.6 |
Theo Nghị định 147/2024/ND-CP, bạn cần xác thực tài khoản trước khi sử dụng tính năng này. Chúng tôi sẽ gửi mã xác thực qua SMS hoặc Zalo tới số điện thoại mà bạn nhập dưới đây: