Hỗ trợ tư vấn
Tư vấn - Giải đáp - Hỗ trợ đặt tài liệu
Mua gói Pro để tải file trên Download.vn (không bao gồm tài liệu cao cấp) và trải nghiệm website không quảng cáo
Tìm hiểu thêm »
SỞ GIÁO DỤC VÀ ĐÀO TẠO
|
KỲ THI TUYỂN SINH LỚP 10 THPT CHUYÊN
|
Bài 1: (2,0 điểm)
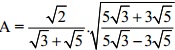
1) Rút gọn biểu thức 
2) Cho hai số x, y thỏa mãn x2 + y2 – 2xy – 2x + 4y – 7 = 0 . Tìm giá trị của x khi y đạt giá trị lớn nhất
Bài 2: (2,0 điểm)
1) Giải phương trình: ![]()
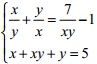
2) Giải hệ phương trình: 
Bài 3: (2,0 điểm)
1) Tìm các số tự nhiên n để n5 + n4 + n + 1 là số nguyên tố.
2) Đặt Sn =1.2 + 2.3 + 3.4 + ... + n(n+1); với n là số nguyên dương. Chứng minh rằng: 3(n + 3)Sn + 1 là một số chính phương.
Bài 4: (3,0 điểm)
Cho điểm A đường tròn (O) bán kính R. Từ A kẻ đường thẳng d bất kỳ không đi qua O, cắt đường tròn O tại B và c (B nằm giữa A và C). Các tiếp tuyến của đường tròn O tại B và c cắt nhau tại D. Kẻ DH vuông góc với AO tại H; DH cắt cung nhỏ BC tại M. Gọi I là giao điểm của DO và BC. Chứng minh rằng:
1) Năm điểm D, B, H, O, C cùng nằm trên một đường tròn và tứ giác DIHA là tứ giác nội tiếp.
2) Đường thẳng AM là tiếp tuyến của đường tròn (O).
3) Tích HB. HC không đổi khi đường thẳng d quay quanh điểm A.
Bài 5: (1,0 điểm)
Trong một hình tròn diện tích bằng 2012 cm2 ta lấy 6037 điểm phân biệt sao cho 4 điểm bất kỳ trong chúng là các đỉnh của một đa giác lồi. Chứng minh rằng tồn tại 3 điểm trong 6037 điểm đã lấy là 3 đỉnh của một tam giác có diện tích không vượt quá 0,5cm2
Download tài liệu để xem thêm chi tiết.
Theo Nghị định 147/2024/ND-CP, bạn cần xác thực tài khoản trước khi sử dụng tính năng này. Chúng tôi sẽ gửi mã xác thực qua SMS hoặc Zalo tới số điện thoại mà bạn nhập dưới đây: