Đề thi tuyển sinh lớp 10 THPT chuyên Lê Hồng Phong, TP HCM năm 2012 - 2013 Đề tuyển sinh vào lớp 10

ĐẠI HỌC QUỐC GIA T.P HỒ CHÍ MINH
TRƯỜNG LÊ HỒNG PHONG T.P HỒ CHÍ MINH

ĐỀ THI TUYỂN SINH LỚP 10
NĂM HỌC 2012 - 2013

Môn thi: Toán (chuyên)
Thời gian làm bài: 150 phút (Không kể thời gian giao đề)


Câu 1:

Giải phương trình:

Câu 2:

Cho đa thức f(x) = ax3 + bx2 + cx + d. với a là số nguyên dương, biết: f(5) – f(4) = 2012.

Chứng minh: f(7) – f(2) là hợp số.

Câu 3:

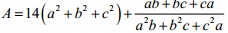
Cho ba số dương a; b và c thỏa a + b + c = 1. Tìm GTNN của:

Câu 4:

Cho tứ giác ABCD nội tiếp (O; R) có AC vuông góc BD tại H. Trên cạnh AB lấy điểm M sao cho: AM = 1/3 AB. Trên cạnh HC lấy trung điểm N. Chứng minh MH vuông góc với DN.

Câu 5:

Cho đường tròn tâm O và đường tròn tâm I cắt nhau tại hai điểm A và B(O và I khác phía đối với A và B). IB cắt (O) tại E: OB cắt (I) tại F. Qua B vẽ MN // EF( M thuộc (O) và N thuộc (I).

a) Chứng minh: Tứ giác OAIE nội tiếp.

b) Chứng minh: AE + AF = MN

Câu 6:

Trên mặt phẳng cho 2013 điểm tùy ý sao cho khi 3 điểm bất kỳ thì tồn tại 2 điểm mà khoảng cách giữa 2 điểm đó luôn bé hơn 1.

Chứng minh rằng tồn tại một đường tròn có bán kính bằng 1 chứa ít nhất 1007 điểm (kể cả biên)

Download tài liệu để xem thêm chi tiết.

Chia sẻ bởi:
Liên kết tải về
Tìm thêm: Toán 9
Xác thực tài khoản!

Theo Nghị định 147/2024/ND-CP, bạn cần xác thực tài khoản trước khi sử dụng tính năng này. Chúng tôi sẽ gửi mã xác thực qua SMS hoặc Zalo tới số điện thoại mà bạn nhập dưới đây:

Số điện thoại chưa đúng định dạng!
Số điện thoại này đã được xác thực!
Bạn có thể dùng Sđt này đăng nhập tại đây!
Lỗi gửi SMS, liên hệ Admin
Sắp xếp theo
👨
Đóng
Chỉ thành viên Download Pro tải được nội dung này! Download Pro - Tải nhanh, website không quảng cáo! Tìm hiểu thêm
Nhắn tin Zalo