Hỗ trợ tư vấn
Tư vấn - Giải đáp - Hỗ trợ đặt tài liệu
Mua gói Pro để tải file trên Download.vn (không bao gồm tài liệu cao cấp) và trải nghiệm website không quảng cáo
Tìm hiểu thêm »
PHÒNG GIÁO DỤC VÀ ĐÀO TẠO
|
ĐỀ THI OLYMPIC TOÁN LỚP 9
|
Bài 1:
a. Giải phương trình: ![]()
b. Với giá trị nào của tham số a thì phương trình sau có nghiệm: ![]()
Bài 2:
a. Tìm GTNN của biểu thức: ![]()
b. Tìm số thực a để phương trình sau có nghiệm nguyên: x2 - ax + a + 2 = 0
Bài 3:
a. Chứng minh rằng đường thẳng (d) có phương trình (m - 3)x - (m - 2)y + m - 1 = 0 (m là tham số) luôn đi qua một điểm cố định A. Tìm tọa độ A
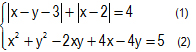
b. Giải hệ phương trình sau: 
Bài 4:
Cho ΔABC đều cố định nội tiếp trong đường tròn (O). Đường thẳng d thay đổi luôn đi qua A và cắt cung nhỏ AB tại điểm E (E # A). Đường thẳng d cắt hai tiếp tuyên tại B và C của đường tròn (O) lần lượt tại M và N, MC cắt BN tại F. Chứng minh rằng:
a. ΔCAN ~ ΔBMA và ΔMBC ~ ΔBCN
b. Tứ giác BMEF nội tiếp được đường tròn
c. Chứng minh rằng đường thẳng EF luôn đi qua một điểm cố định khi d thay đổi
Bài 5:
Cho a, b, c > 0. Chứng minh rằng:![]()
Download tài liệu để xem thêm chi tiết.
Theo Nghị định 147/2024/ND-CP, bạn cần xác thực tài khoản trước khi sử dụng tính năng này. Chúng tôi sẽ gửi mã xác thực qua SMS hoặc Zalo tới số điện thoại mà bạn nhập dưới đây: