Đề thi giải toán trên máy tính cầm tay lớp 9 THCS tỉnh Hà Tĩnh năm 2013-2014 Môn: Toán

SỞ GIÁO DỤC - ĐÀO TẠO
HÀ TĨNH
KỲ THI CHỌN HỌC SINH GIỎI TỈNH
GIẢI TOÁN TRÊN MÁY TÍNH CẦM TAY
NĂM HỌC 2013 – 2014

MÔN: TOÁN LỚP 9

Thời gian: 90 phút

Bài 1. (6.0 điểm). Tính kết quả đúng của các tích sau:

a. M = 3333344444 7777788888

b. N = 1220133

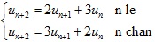
Bài 2. (6.0 điểm) Cho dãy số (un) được xác định u1 = 1; u2 = 2 và Đề thi giải toán trên máy tính cầm tay lớp 9 THCS tỉnh Hà Tĩnh năm 2013-2014

a. Tính u10, u15, u21

b. Gọi Sn là tổng của số hạng đầu tiên của dãy số (un). Lập quy trình bấm phím để tính Sn và tính S10, S15, S20. Ghi rõ quy trình bấm phím trên máy nào.

Bài 3. (6.0 điểm)

a. Tìm x, y nguyên dương thoả mãn: Đề thi giải toán trên máy tính cầm tay lớp 9 THCS tỉnh Hà Tĩnh năm 2013-2014

b. Tìm các chữ số a, b, c, d sao cho là số chính phương

Bài 4. (6.0 điểm). Kết quả lấy đến 5 chữ số sau dấu phẩy

a. Cho tam giác ABC có cạnh AB = 1,2345; cạnh AC = 2,3456 và hai trung tuyến BM, CN vuông góc với nhau. Tính độ dài cạnh BC

b. Cho hình thang ABCD có hai đáy là AB,CD. Gọi M,N là trung điểm của AB, CD. Biết MN = 2,2222; BD =3,3333 và AC=5,5555. Tìm diện tích hình thang.

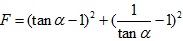
Bài 5 (6.0 điểm) Kết quả câu b lấy đến 5 chữ số sau dấu phẩy

a. Cho A = 282013. Tìm hai chữ số tận cùng của A.

b. Cho góc α thỏa mãn 60o < α < 90o. Tìm giá trị nhỏ nhất của Đề thi giải toán trên máy tính cầm tay lớp 9 THCS tỉnh Hà Tĩnh năm 2013-2014

Download tài liệu để xem chi tiết.

Chia sẻ bởi: 👨 Nguyễn Thu Ngân
Liên kết tải về
Xác thực tài khoản!

Theo Nghị định 147/2024/ND-CP, bạn cần xác thực tài khoản trước khi sử dụng tính năng này. Chúng tôi sẽ gửi mã xác thực qua SMS hoặc Zalo tới số điện thoại mà bạn nhập dưới đây:

Số điện thoại chưa đúng định dạng!
Số điện thoại này đã được xác thực!
Bạn có thể dùng Sđt này đăng nhập tại đây!
Lỗi gửi SMS, liên hệ Admin
Sắp xếp theo
👨
Đóng
Chỉ thành viên Download Pro tải được nội dung này! Download Pro - Tải nhanh, website không quảng cáo! Tìm hiểu thêm
Nhắn tin Zalo