Hỗ trợ tư vấn
Tư vấn - Giải đáp - Hỗ trợ đặt tài liệu
Mua gói Pro để tải file trên Download.vn (không bao gồm tài liệu cao cấp) và trải nghiệm website không quảng cáo
Tìm hiểu thêm »
PHÒNG GIÁO DỤC VÀ ĐÀO TẠO
|
ĐỀ THI OLYMPIC TOÁN LỚP 8
|
Câu 1:
Cho biểu thức: 
a. Tìm điều kiện x, y để giá trị của A được xác định
b. Rút gọn A
c. Nếu x, y là các số thực thỏa mãn: 3x2 + y2 + 2x - 2y = 1, hãy tìm các giá trị nguyên dương của A?
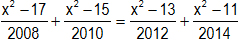
Câu 2:
a. Giải phương trình sau: ![]()
b. Tìm các số x, y, z biết x2 + y2 + z2 = xy = yz + zx và x2012 + y2012 + z2012 = 32013
Câu 3:
a. Cho phương trình
, với m là tham số. Tìm m để phương trình có nghiệm dương
b. Chứng minh rằng nếu a + b + c ≥ 3 thì a3 + b3 + c3 ≤ a4 + b4 + c4
Câu 4:
Cho đoạn thẳng AB, gọi O là trung điểm của AB. Vẽ về một phía của AB các tia Ax, By vuông góc với điểm C trên tia Ax, điểm D trên tia by sao cho góc COD = 90o
a. Chứng minh rằng ΔACO ~ ΔBOD và ΔOCD ~ ΔBOD
b. Kẻ OI vuông góc (I thuộc CD), gọi K là giao điểm của AD và BC. Chứng minh rằng IK // AC.
c Gọi E là giao ddierm của OD với IK. Chứng minh rằng IE = BD
Câu 5:
Cho ![]()
So sánh S với ![]()
Download tài liệu để xem thêm chi tiết.
Theo Nghị định 147/2024/ND-CP, bạn cần xác thực tài khoản trước khi sử dụng tính năng này. Chúng tôi sẽ gửi mã xác thực qua SMS hoặc Zalo tới số điện thoại mà bạn nhập dưới đây: