Hỗ trợ tư vấn
Tư vấn - Giải đáp - Hỗ trợ đặt tài liệu
Mua gói Pro để tải file trên Download.vn (không bao gồm tài liệu cao cấp) và trải nghiệm website không quảng cáo
Tìm hiểu thêm »
PHÒNG GIÁO DỤC VÀ ĐÀO TẠO
|
ĐỀ THI OLYMPIC TOÁN LỚP 7
|
Câu 1:
a. Thực hiện phép tính: 
b. Chứng minh rằng, với mọi số nguyên dương n thì 3n+2 - 2n+2 + 3n - 2n chia hết cho 10
Câu 2:
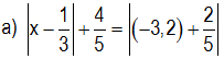
Tìm x, biết

b) (x - 7)x+1 - (x - 7)x+1 = 0
Câu 3:
a. Số A được chia thành 3 số tỉ lệ theo
. Biết rằng tổng các bình phương của ba số đó bằng 24309. Tìm số A
b. Cho x, y, z là các số hữu tỉ khác 0, sao cho
.
Tính giá trị bằng số của biểu thức: 
Câu 4:
Cho tam giác ABC (AB < AC), M là trung điểm của BC. Trên tia đối của tia MA lấy điểm E sao cho ME = MA. Chứng minh rằng
a. AC = EB và AC // BE.
b. Gọi I là một điểm trên AC, K là một điểm trên EB sao cho AI = EK. Chứng minh ba điểm I, M, K thẳng hàng.
c. Từ M kẻ tia Mx sao cho MA là tia phân giác cua góc BMx. Gọi D là giao điểm Mx với AC. Chứng minh rằng MB > MD
Câu 5:
Cho tam giác ABC có góc B = 60o, C = 45o. Trong ABC, vẽ tia Bx sao cho góc CBx = 15o. Đường vuông góc với AB tại A cắt Bx ở I. Tính góc ICB
Download tài liệu để xem thêm chi tiết.
Theo Nghị định 147/2024/ND-CP, bạn cần xác thực tài khoản trước khi sử dụng tính năng này. Chúng tôi sẽ gửi mã xác thực qua SMS hoặc Zalo tới số điện thoại mà bạn nhập dưới đây: