Hỗ trợ tư vấn
Tư vấn - Giải đáp - Hỗ trợ đặt tài liệu
Mua gói Pro để tải file trên Download.vn (không bao gồm tài liệu cao cấp) và trải nghiệm website không quảng cáo
Tìm hiểu thêm »Tổng hợp đề thi Học sinh giỏi Toán lớp 9 là tài liệu tham khảo nhằm giúp các em học sinh lớp 9 chuẩn bị tham gia kì thi học sinh giỏi sắp tới và giúp các em học tốt môn Toán cho năm học cuối cấp để vượt qua các kì thi quan trọng với điểm số cao. Đề thi học sinh giỏi môn Toán lớp 9 có đáp án và lời giải kèm theo, các bạn có thể download đề thi học sinh giỏi môn toán lớp 9 về để ôn tập và chuẩn bị cho kỳ thi học sinh giỏi Toán lớp 9.
Thời gian: 150 phút
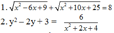
Câu I. ( 4 điểm). Giải phương trình

Câu II. (4 điểm)
1. Cho biểu thức:
![]()
Tìm giá trị nhỏ nhất của biểu thức A.
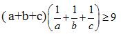
2. Cho a>0; b>0; c>0. Chứng minh bất đẳng thức
![]()
Câu III. (4,5 điểm)
1. Giải bài toán bằng cách lập phương trình.
Tìm số tự nhiên có hai chữ số biết rằng chữ số hàng chục lớn hơn chữ số hàng đơn vị là 2 và số đó lớn hơn tổng các bình phương các chữ số của nó là 1.
2. Cho phương trình: x2 –(m+1)x+2m-3 =0 (1)
+ Chứng minh rằng phương trình trên luôn có 2 nghiệm phân biệt với mọi giá trị của m.
+ Tìm giá trị của m để phương trình (1) có nghiệm bằng 3.
Câu IV (4 điểm)
Cho hình thang cân ABCD, (AB//CD; AB > CD). Hai đường chéo AC và BD cắt nhau tại I. Góc ACD = 600; gọi E; F; M lần lượt là trung điểm của các đoạn thẳng IA; ID; BC.
- Chứng minh tứ giác BEFC nội tiếp được trong một đường tròn.
- Chứng minh tam giác MEF là tam giác đều.
Câu V. (3,5 điểm)
Cho hình chóp tam giác đều S. ABC có các mặt là tam giác đều. Gọi O là trung điểm của đường cao SH của hình chóp.
Chứng minh rằng: góc AOB = BOC = COA = 900
Bài 1: (2 điểm)
1. Cho biểu thức

Bài 2 (2đ): Phân tích thành nhân tử: A = (xy + yz + zx) (x + y+ z) – xyz
Bài 3 (2đ):
1. Tìm giá trị của a để phương trình sau chỉ có 1 nghiệm:

Bài 6 (2đ): Trên mặt phẳng toạ độ cho đường thẳng (d) có phương trình: 2kx + (k – 1)y = 2 (k là tham số)
1. Tìm k để đường thẳng (d) song song với đường thẳng y = ? Khi đó hãy tính góc tạo bởi (d) và tia Ox.
2. Tìm k để khoảng cách từ gốc toạ độ đến đường thẳng (d) là lớn nhất?
Bài 7 (2đ): Giả sử x, y là các số dương thoả mãn đẳng thức: x + y = căn bậc 2 của 10
Tìm giá trị của x và y để biểu thức: P = (x4 + 1)(y4 + 1) đạt giá trị nhỏ nhất. Tìm giá trị nhỏ nhất ấy.
Bài 8 (2đ): Cho ABC với BC = 5cm, AC= 6cm; AB = 7cm. Gọi O là giao điểm 3 đường phân giác, G là trọng tâm của tam giác. Tính độ dài đoạn OG.
Bài 9 (2đ): Gọi M là một điểm bất kì trên đường thẳng AB. Vẽ về một phía của AB các hình vuông AMCD, BMEF.
a. Chứng minh rằng AE vuông góc với BC.
b. Gọi H là giao điểm của AE và BC. Chứng minh rằng ba điểm D, H, F thẳng hàng.
c. Chứng minh rằng đường thẳng DF luôn luôn đi qua một điểm cố định khi M chuyển động trên đoạn thẳng AB cố định.
d. Tìm tập hợp các trung điểm K của đoạn nối tâm hai hình vuông khi M chuyển động trên đường thẳng AB cố định.
Bài 10 (2đ): Cho khác góc bẹt và một điểm M thuộc miền trong của góc. Dựng đường thẳng qua M và cắt hai cạnh của góc thành một tam giác có diện tích nhỏ nhất.
Tài liệu vẫn còn, mời các bạn tải về để xem tiếp
Theo Nghị định 147/2024/ND-CP, bạn cần xác thực tài khoản trước khi sử dụng tính năng này. Chúng tôi sẽ gửi mã xác thực qua SMS hoặc Zalo tới số điện thoại mà bạn nhập dưới đây: