Đề thi Olympic Toán sinh viên ĐH Khoa học tự nhiên năm 2013

ĐẠI HỌC QUỐC GIA HÀ NỘI
ĐẠI HỌC KHOA HỌC TỰ NHIÊN

KỲ THI OLYMPIC TOÁN SINH VIÊN 2013

MÔN: TOÁN HỌC

MÔN THI: ĐẠI SỐ
Thời gian: 150 phút

Bài 1: Cho ánh xạ tuyến tính f: Mn(R) → R

a/ Chứng minh rằng tồn tại duy nhất ma trận C sao cho f(A) = Tr(AC)

b/ Nếu thêm giả thiết f (AB) = f (BA) với mọi A,B thì tồn tại α thuộc R sao cho f(A) = αTr(A)

Bài 2:

Tìm tất cả các ma trận vuông A cấp n sao cho ma trận là một ma trận chéo hóa được. Ở đó In là ma trận đơn vị cấp n.

Bài 3: Cho xi, yi, 1 ≤ i ≤ n là các số phức với với xi, yi # 1 mọi cặp xi, yi

Tính định thức của ma trận M = (mi,j)m × n, ở đó:

Bài 4: Giả sử A và B là 2 ma trận unita cỡ n × n với hệ số phức.

Chứng minh rằng |det(AB)| ≤ 2n

Bài 5:

a/ Cho A thuộc M3(Q) là một ma trận thỏa mãn điều kiện A5 = I. Chứng minh rằng $A = I$

b/ Cho A thuộc M4(Q) là một ma trận thỏa mãn điều kiện A5 = I. Kết luận A = I có còn đúng không? Tại sao?

Bài 6: Tìm tất cả các đa thức hệ số thực thỏa mãn: P(x)P(x1) = P(x2), với mọi x thuộc R

Định nghĩa và ký hiệu:

(1) Tr(B) là vết của ma trận vuông B, được định nghĩa bằng tổng các phần tử trên được chéo chính của B

(2) Mn(Q) = {(ai,j)n × n | ai,j thuộc Q}

(3) Giả sử A = (ai,j)n × n. Ma trận phụ hợp phức A* = (a*i,j)n × n của A được định nghĩa như sau: a*i,j = aj,i.

Ma trận A được gọi là unita nếu AA* = A*A = I

MÔN THI: GIẢI TÍCH
Thời gian:120 phút

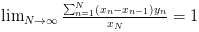
Bài 1: Tính giới hạn sau:

Bài 2: Cho g: R → R là hàm số liên tục. Giả sử tồn tại một hàm khả vi φ(x) sao cho: φ'(x) = g(φ(x)), với mọi x thuộc R

Chứng minh rằng nếu limx→∞φ(x) = b thì g(b) = 0

Bài 3: Cho hai dãy số thực {xn}0 và $\left \{ y_{n} \right \}_{0}^{\infty}$ thỏa mãn các điều kiện sau:

1. xn1 ≥ xn, với mọi n = 0, 1, 2,..., xo = 0; limn→∞xn = ∞.

2. limn→∞yn = 1.

Chứng minh rằng:

Bài 4: Cho hàm số f: (0; ∞) → R thỏa mãn các điều kiện sau:

1.

2. f bị chặn trên mọi khoảng con hữu hạn chứa trong (0; ∞).

Chứng minh rằng:

Bài 5:

Cho đa thức P(x) = ax3bx2cxd với các hệ số a, b, c, d thuộc R và $a \neq 0$. Giả sử tồn tại vô số các cặp số nguyên (x, y); x # y sao cho xP(x) = yP(y). Chứng minh rằng phương trình P(x) = 0 có nghiệm nguyên.

Download tài liệu để xem thêm chi tiết.

Chia sẻ bởi: 👨 Nguyễn Thu Ngân
Liên kết tải về
Xác thực tài khoản!

Theo Nghị định 147/2024/ND-CP, bạn cần xác thực tài khoản trước khi sử dụng tính năng này. Chúng tôi sẽ gửi mã xác thực qua SMS hoặc Zalo tới số điện thoại mà bạn nhập dưới đây:

Số điện thoại chưa đúng định dạng!
Số điện thoại này đã được xác thực!
Bạn có thể dùng Sđt này đăng nhập tại đây!
Lỗi gửi SMS, liên hệ Admin
Sắp xếp theo
👨
Đóng
Chỉ thành viên Download Pro tải được nội dung này! Download Pro - Tải nhanh, website không quảng cáo! Tìm hiểu thêm
Nhắn tin Zalo