10 bộ đề thi học kì 1 môn Toán lớp 10 Đề kiểm tra học kì 1 môn Toán lớp 10

10 bộ đề thi học kì 1 môn Toán lớp 10 là bộ đề ôn tập thi học kì 1 lớp 10 môn Toán được sưu tầm và giới thiệu tới quý thầy cô và các bạn học sinh tham khảo. Tài liệu này giúp các thầy cô có thêm tư liệu ra đề kiểm tra, đề ôn tập cuối kì. Các bạn học sinh có thể tự luyện tập nhằm củng cố kiến thức, ôn thi học kì 1 hiệu quả.

ĐỀ KIỂM TRA HỌC KÌ 1 LỚP 10 MÔN TOÁN - ĐỀ SỐ 1

Bài 1: Tìm (P): y = ax2 + bx + c biết (P) có đỉnh I(2;1) và đi qua điểm A(4,5). Lập bảng biến thiên và vẽ (P).

Bài 2: Tìm tham số m để phương trình: (m2 - 1)x + 2m = 5x - 2√6 nghiệm đúng ∀x ∈ R

Bài 3: Cho phương trình: (2m - 1)x2 - 2(2m - 3)x + 2m + 5 = 0 (1)

Tìm m để phương trình:

a) Có nghiệm.

b) Có hai nghiệm phân biệt x1, x2 sao cho x1 = -x2.

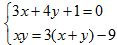
Bài 4: Giải các phương trình sau:

Đề thi học kỳ 1 môn Toán lớp 10

Bài 5: Giải hệ phương trình sau: Đề thi học kỳ 1 môn Toán lớp 10

Bài 6: Cho ΔABC có A(-1;1); B(1;3); C(1;-1)

a. ΔABC là tam giác gì? Tính chu vi và diện tích.

b. Tìm tọa độ tâm I và tính bán kính đường tròn ngoại tiếp tam giác ABC

c. Tìm tọa độ điểm D có hoành độ âm sao cho ΔADC vuông cân tại D.

Bài 7: Cho tam giác ABC có AB = 5; AC = 6, góc A = 1200.

a. Tính Đề thi học kỳ 1 môn Toán lớp 10 và độ dài BC.

b. Tính độ dài trung tuyến AM của tam giác ABC

c. Gọi N là điểm thỏa mãn Đề thi học kỳ 1 môn Toán lớp 10. Gọi K là điểm trên cạnh BC sao cho Đề thi học kỳ 1 môn Toán lớp 10. Tìm x để AK ⊥ BN.

Bài 8. Cho tam giác ABC có trọng tâm G và điểm M thỏa mãn Đề thi học kỳ 1 môn Toán lớp 10. Chứng minh: M, B, G thẳng hàng.

Chia sẻ bởi: 👨 Phùng Thị Thu Hà
Liên kết tải về

Chọn file cần tải:

Tìm thêm: Toán 10
Xác thực tài khoản!

Theo Nghị định 147/2024/ND-CP, bạn cần xác thực tài khoản trước khi sử dụng tính năng này. Chúng tôi sẽ gửi mã xác thực qua SMS hoặc Zalo tới số điện thoại mà bạn nhập dưới đây:

Số điện thoại chưa đúng định dạng!
Số điện thoại này đã được xác thực!
Bạn có thể dùng Sđt này đăng nhập tại đây!
Lỗi gửi SMS, liên hệ Admin
Sắp xếp theo
👨
Đóng
Chỉ thành viên Download Pro tải được nội dung này! Download Pro - Tải nhanh, website không quảng cáo! Tìm hiểu thêm
Nhắn tin Zalo