Hỗ trợ tư vấn
Tư vấn - Giải đáp - Hỗ trợ đặt tài liệu
Mua gói Pro để tải file trên Download.vn (không bao gồm tài liệu cao cấp) và trải nghiệm website không quảng cáo
Tìm hiểu thêm »Bộ đề thi học kì 1 môn Toán lớp 10 năm học 2016 - 2017 gồm nhiều đề thi từ các trường khác nhau, có đi kèm đáp án đề các bạn học sinh có thể tham khảo cũng như đối chiếu kết quả bài làm của chính mình ngay sau khi làm xong. Hi vọng tài liệu này sẽ giúp các bạn ôn thi học kì I lớp 10 hiệu quả. Mời các bạn tham khảo.
|
SỞ GIÁO DỤC VÀ ĐÀO TẠO NAM ĐỊNH
ĐỀ CHÍNH THỨC |
ĐỀ KHẢO SÁT CHẤT LƯỢNG HỌC KỲ I NĂM HỌC 2016 – 2017 Môn: Toán – lớp 10 (Thời gian làm bài: 90 phút) Đề thi gồm 01 trang |
Câu 1 (2,0 điểm)
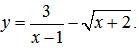
a) Tìm tập xác định của hàm số
.
b) Xác định các số thực a, b, c biết parabol y = ax2 + bx + c có đỉnh I(1; 1) và đi qua điểm A(0; 2).
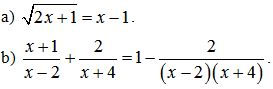
Câu 2 (2,5 điểm)
Giải các phương trình sau:

Câu 3 (1,0 điểm)
Cho phương trình (x + 1)[x2 - 2(m - 2)x - 2m] = 0. Xác định tham số m để phương trình có ba nghiệm âm phân biệt x1, x2, x3 thỏa mãn x12 + x22 + x32 = 33.
Câu 4 (3,5 điểm)
Trong mặt phẳng tọa độ Oxy, cho hình vuông ABCD. Biết đỉnh A(1; 2), B(2; -2) và đỉnh C có hoành độ dương.
a) Xét sự thẳng hàng của ba điểm A, B và M(4; -10).
b) Tính
và
.
c) Tìm tọa độ của các đỉnh C và D.
Câu 5 (1,0 điểm)
Giải phương trình sau: ![]()



Mời các bạn tải bộ đề về tham khảo.
Theo Nghị định 147/2024/ND-CP, bạn cần xác thực tài khoản trước khi sử dụng tính năng này. Chúng tôi sẽ gửi mã xác thực qua SMS hoặc Zalo tới số điện thoại mà bạn nhập dưới đây: