Đề thi Olympic toán tuổi thơ năm 2013 cấp THCS thành phố Bà Rịa - Đề thi cá nhân Bài tập Olympic toán

CUỘC THI OLYMPIC TOÁN TUỔI THƠ NĂM HỌC 2012 -2013
CẤP THCS THÀNH PHỐ BÀ RỊA

ĐỀ THI CÁ NHÂN
Thời gian làm bài: 30 phút


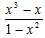
Câu 1:

Kết quả của phép nhân là:

Câu 2:

Giá trị nhỏ nhất của biểu thức là:

Câu 3:

Cho x - y = 4; x.y = 3. Giá trị của biểu thức (x + y)2 là:

Câu 4:

Giá trị của biểu thức x2 - y2 - 2y - 1 tại x = 93, y = 6 là:

Câu 5:

Rút gọn phân thức

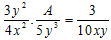
Câu 6:

Biết rằng . Tính A:

Câu 7:

Cho hình thang cân ABCD (AB // CD) có AB = 13cm, CD = 25cm, góc D = 450. Như vậy diện tích hình thang ABCD bằng:

Câu 8:

Cho hình thang ABCD. Phân giác của góc A và góc D cắt nhau tại I, phân giác của góc B và góc C cắt nhau tại K. Ta có góc AID = góc BCK và bằng:

Câu 9:

Nếu x2 + x(6 - 2x) = (x - 1)(2 - x) - 2 thì x bằng:

Câu 10:

Phép chia (x2 - 5x + 6) : (x - 2) có kết quả là:

Câu 11:

Số dư của phép chia đa thức (x3 - 4x2 + 3x + 2) : (x - 2) là:

Câu 12:

AC, BD là hai đường kính của đường tròn tâm O thì tứ giác ABCD là hình gì?

Câu 13:

Nếu a, b, c là độ dài 3 cạnh của một tam giác ABC mà a2 + b2 + c2 = ab + bc + ca thì tam giác ABC là:

Câu 14:

Biểu thức (3x - 1)3 bằng:

Câu 15:

Kết quả phân tích đa thức x2 - 7x + 12 thành nhân tử là:

Câu 16: (Học sinh trình bày bài giải)

Cho hình thang ABCD (AB//CD). Biết góc ADB = 450, góc BCD = 600, góc CBD = 900. Tính góc BAD?

Download tài liệu để xem thêm chi tiết

Chia sẻ bởi:
Liên kết tải về
Xác thực tài khoản!

Theo Nghị định 147/2024/ND-CP, bạn cần xác thực tài khoản trước khi sử dụng tính năng này. Chúng tôi sẽ gửi mã xác thực qua SMS hoặc Zalo tới số điện thoại mà bạn nhập dưới đây:

Số điện thoại chưa đúng định dạng!
Số điện thoại này đã được xác thực!
Bạn có thể dùng Sđt này đăng nhập tại đây!
Lỗi gửi SMS, liên hệ Admin
Sắp xếp theo
👨
Đóng
Chỉ thành viên Download Pro tải được nội dung này! Download Pro - Tải nhanh, website không quảng cáo! Tìm hiểu thêm
Nhắn tin Zalo