Hỗ trợ tư vấn
Tư vấn - Giải đáp - Hỗ trợ đặt tài liệu
Mua gói Pro để tải file trên Download.vn (không bao gồm tài liệu cao cấp) và trải nghiệm website không quảng cáo
Tìm hiểu thêm »Bài toán về tính tuổi là một trong số các bài toán có văn thường gặp ở tiểu học, đây là dạng toán khá quen thuộc đối với các em học sinh lớp 4, 5.
Trong đề bài của các bài toán dạng này, các yếu tố về tổng, hiệu hoặc tỉ số giữa số tuổi của hai người thường được ẩn dưới nhiều hình thức khác nhau. Do hiệu số tuổi của hai người luôn không thay đổi ở mọi thời điểm nên từ hiệu số tuổi của hai người ở một thời điểm bất kì nào đó ta có thể suy ra hiệu số tuổi của hai người đó ở một thời điểm khác. Ngược lại, tỉ số số tuổi của hai người ở mỗi thời điểm lại khác nhau vì vậy từ tỉ số số tuổi của hai người ở một thời điểm nào đó ta không thể suy ra tỉ số số tuổi của hai người đó ở một thời điểm khác được. Mỗi năm, mỗi người thêm 1 tuổi do đó nếu biết khoảng cách thời gian giữa hai thời điểm nào đó thì từ tổng số tuổi của hai người ở một thời điểm ta có thể suy ra tổng số tuổi của hai người đó ở thời điểm kia.
Có nhiều cách để giải các bài toán dạng này, thông thường ta có thể áp dụng cách giải của các bài toán điển hình như Tổng - hiệu, Tổng - tỉ , Hiệu - tỉ, ngoài ra ta còn có thể áp dụng cách giải bằng sơ đồ đoạn thẳng hoặc so sánh với đại lượng không đổi. Để giúp các em học sinh nắm rõ hơn về cách giải của các bài toán dạng này, chúng ta cùng tìm hiểu kĩ hơn qua các ví dụ cụ thể với các dạng bài cơ bản sau đây:
Ví dụ 1: Năm nay, anh 11 tuổi còn em 5 tuổi. Hỏi sau bao nhiêu năm nữa thì tổng số tuổi của hai anh em là 28 tuổi?
Phân tích: Từ số tuổi của hai anh em hiện nay, ta có thể biết được hiệu số tuổi của hai anh em từ đó suy ra hiệu số tuổi của hai anh em khi tôngr số tuổi của hai anh em là 28 tuổi.
Áp dụng cách giải của bài toán Tổng - hiệu ta tìm được số tuổi của mỗi người khi tổng số tuổi của hai anh em là 28 tuổi, từ đó tìm được thời gian từ nay đến khi tổng số tuổi của hai anh em là 28 tuổi.
Giải: Hiệu số tuổi của hai anh em hiện nay là: 11 - 5 = 6 (tuổi)
Do hiệu số tuổi của hai người luôn không thay đổi nên hiệu số tuổi của hai anh em khi tổng số tuổỉ của hai anh em là 28 tuổi cũng vẫn như hiện nay và là 6 tuổi.
Tuổi của anh khi tổng số tuổi của hai anh em là 28 tuổi là: (28 + 6) : 2 = 17 (tuổi) Thời gian từ nay đến khi tổng số tuổi của hai anh em là 28 tuổi là: 17 - 11 = 6 (năm)
Đáp số: 6 năm
Ví dụ 2: Cách đây 3 năm thì tổng số tuổi của hai anh em là 11 tuổi. Tính số tuổi của anh và số tuổi của em hiện nay, biết rằng hiện nay anh hơn em 5 tuổi.
Phân tích: Vì hiệu số tuổi của hai người không thay đổi nên cách đây 3 năm anh cũng hơn em 5 tuổi. Từ tổng số tuổi của hai anh em cách đây 3 năm ta có thể tìm được tổng số tuổi của hai anh em hiện nay. Do đó ta có thể áp dụng cách giải của bài toán Tổng - hiệu để tìm được số tuổi của anh và số tuổi của em cách đây 3 năm và tìm được số tuổi của anh và số tuổi của em hiện nay.
Giải: Vì hiệu số tuổi của hai người không thay đổi nên cách đây 3 năm anh cũng hơn em 5 tuổi.
Tuổi của anh cách đây 3 năm là: (11 + 5) : 2 = 8 (tuổi) Tuổi của anh hiện nay là: 8 + 3 = 11 (tuổi)
Tuổi của em hiện nay là: 11 - 5 = 6 (tuổi)
Cách 2: Tổng số tuổi của hai anh em hiện nay là: 11 + 3 x 2 = 17 (tuổi) Tuổi của anh hiện nay là: (17 + 5) : 2 = 11 (tuổi)
Tuổi của em hiện nay là: 11 - 5 = 6 (tuổi) Đáp số: Anh: 11 tuổi , em : 6 tuổi.
Ví dụ 1: Cách đây 5 năm, tuổi mẹ gấp 5 lần tuổi con. Tính tuổi mẹ và tuổi con hiện nay, biết rằng tổng số tuổi của mẹ và con hiện nay là 46 tuổi.
Phân tích: Bài toán cho biết tỉ số số tuổi của hai mẹ con cách đây 5 năm và tổng số tuổi của hai mẹ con hiện nay. Để tìm được số tuổi của mỗi người ta cần biết thêm tổng số tuổi của hai mẹ con cách đây 5 năm hoặc tỉ số số tuổi của hai mẹ con hiện nay.
Ta thấy: Từ tỉ số số tuổi của hai mẹ con cách đây 5 năm không thể tìm được tỉ số số tuổi của hai mẹ con hiện nay. Từ tổng số tuổi của mẹ và của con hiện nay ta có thể tìm được tổng số tuổi của mẹ và của con cách đây 5 năm. Từ đó áp dụng cách giải của bài toán Tổng - tỉ ta tìm được số tuổi của mẹ và số tuổi của con cách đây 5 năm và tìm được số tuổi của mẹ và số tuổi của con hiện nay.
Giải: Tổng số tuổi của hai mẹ con cách đây 5 năm là: 46 - 5 x 2 = 36 (tuổi) Tuổi của con cách đây 5 năm là: 36 : (5 + 1) = 6 (tuổi)
Tuổi của con hiện nay là: 6 + 5 = 11 (tuổi) Tuổi của mẹ hiện nay là: 46 - 11 = 35 (tuổi) Đáp số: Mẹ: 35 tuổi, con: 11 tuổi.
Ví dụ 2: Cách đây 6 năm, tổng số tuổi của mẹ và con là 36 tuổi. Tính tuổi của mẹ và tuổi của con hiện nay, biết rằng 12 năm nữa thì tuổi mẹ sẽ gấp đôi tuổi con.
Phân tích: Từ tổng số tuổi của mẹ và con cách đây 6 năm ta có thể tìm được tổng số tuổi của mẹ và con sau 12 năm nữa. Từ đó áp dụng cách giải của bài toán Tổng - tỉ ta có thể tìm được số tuổi của mẹ và số tuổi của con sau 12 năm nữa và tìm được số tuổi của mẹ và số tuổi của con hiện nay.
Giải: Tổng số tuổi của mẹ và con sau 12 năm nữa là: 36 + (6 + 12 ) x 2 = 72 ( tuổi ) Tuổi của con sau 12 năm nữa là: 72: (1 + 2) = 24 (tuổi)
Tuổi của mẹ sau 12 năm nữa là: 72 - 24 = 48 (tuổi) Tuổi của mẹ hiện nay là: 48 - 12 = 36 (tuổi)
Tuổi của con hiện nay là: 24 - 12 = 12 (tuổi) Đáp số: Mẹ: 36 tuổi, con: 12 tuổi.
Ví dụ 1: Mẹ sinh con năm 26 tuổi. Tính tuổi mẹ và tuổi con hiện nay, biết rằng 15 năm nữa thì tuổi mẹ sẽ gấp đôi tuổi con.
Phân tích: Mẹ sinh con năm 26 tuổi tức là mẹ hơn con 26 tuổi. Do đó sau 15 năm nữa mẹ vẫn hơn con 26 tuổi. Bài toán cho biết tỉ số số tuổi của mẹ và con sau 15 năm nữa, từ đó áp dụng cách giải của bài toán Hiệu - tỉ ta tìm được số tuổi của mẹ và số tuổi của con sau 15 năm nữa và tìm được số tuổi của mẹ và số tuổi của con hiện nay.
Giải: Mẹ sinh con năm 26 tuổi vậy mẹ hơn con 26 tuổi. Do đó15 năm nữa mẹ cũng hơn con 26 tuổi.
Tuổi của con sau 15 năm nữa là: 26 : (2 - 1) = 26 (tuổi) Tuổi của con hiện nay là: 26 - 15 = 11 (tuổi)
Tuổi của mẹ hiện nay là: 11 + 26 = 37 (tuổi) Đáp số: Mẹ: 37 tuổi, con: 11 tuổi.
Ví dụ 2: Năm nay mẹ 35 tuổi, con 10 tuổi. Hỏi cách đây bao nhiêu năm thì tuổi của mẹ gấp 6 lần tuổi của con?
Phân tích: Từ hiệu số tuổi của hai mẹ con hiện nay ta suy ra hiệu số tuổi của hai mẹ con khi tuổi mẹ gấp 6 lần tuổi con. Từ đó áp dụng cách giải của bài toán Hiệu - tỉ ta tìm được số tuổi của mẹ và số tuổi của con khi tuổi mẹ gấp 6 lần tuổi con.
Giải: Mẹ hơn con số tuổi là: 35 - 10 = 25 (tuổi)
Tuổi của con khi tuổi mẹ gấp 6 lần tuổi con là: 25 : (6 - 1) = 5 (tuổi)
Thời gian từ khi tuổi mẹ gấp 6 lần tuổi con đến nay là: 10 - 5 = 5 (năm)
Đáp số: 5 năm
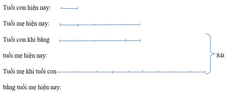
Ví dụ 1: Hiện nay tuổi mẹ gấp 5 lần tuổi con. Đến khi tuổi con bằng tuổi mẹ hiện nay thì tổng số tuổi của hai mẹ con là 84 tuổi. Tính tuổi mẹ và tuổi con hiện nay.
Phân tích: Tuổi mẹ hiện nay gấp 5 lần tuổi con hay tuổi mẹ hơn tuổi con 4 lần tuổi con hiện nay. Khi tuổi con bằng tuổi mẹ hiện nay thì mẹ vẫn hơn con 4 lần tuổi con hiện nay. Từ tổng số tuổi của hai mẹ con khi tuổi con bằng tuổi mẹ hiện nay ta tìm được tuổi của mẹ và tuổi của con khi đó và tìm được số tuổi của mẹ và số tuổi của con hiện nay.
Giải: Ta có thể vẽ sơ đồ và giải bài toán như sau:

Từ sơ đồ ta có: Tuổi của con hiện nay là: 84: (5 + 9) = 6 ( tuổi )
Tuổi của mẹ hiện nay là: 6 x 5 = 30 ( tuổi )
Đáp số: Mẹ: 30 tuổi, con: 6 tuổi.
Ví dụ 2: Hiện nay tuổi anh gấp 1,5 lần tuổi em. Biết rằng từ khi tuổi anh bằng tuổi em hiện nay đến khi tuổi em bằng tuổi anh hiện nay là 10 năm. Tính tuổi anh và tuổi em hiện nay.
Phân tích: Tương tự như ở ví dụ 1 ta có thể vẽ sơ đồ biểu diễn số tuổi của hai anh em ở 3 thời điểm khác nhau đó là: Khi tuổi anh bằng tuổi em hiện nay, hiện nay và khi tuổi em bằng tuổi anh hiện nay. Bài toán cho biết khoảng thời gian từ khi tuổi anh bằng tuổi em hiện nay đến khi tuổi em bằng tuổi anh hiện nay là 10 năm, từ đó ta có thể tìm được hiệu số tuổi của anh và của em và tìm được số tuổi của anh và số tuổi của em.
Giải: Ta có thể vẽ sơ đồ và giải bài toán như sau:

Từ sơ đồ ta có: Anh hơn em số tuổi là: 10 : 2 = 5 (tuổi)
Tuổi em hiện nay là: 5: (3 – 2) x 2 = 10 (tuổi)
Tuổi anh hiện nay là: 10 + 5 = 15 (tuổi)
Đáp số: Anh: 15 tuổi, em: 10 tuổi.
Ví dụ 1: Cách đây 4 năm, tuổi của bố gấp 7 lần tuổi của con. Biết rằng sau 6 năm nữa thì tuổi của con sẽ bằng 1/2 tuổi của bố cách đây 4 năm. Tính tuổi của bố và tuổi của con hiện nay.
Phân tích: Tuổi của con cách đây 4 năm bằng 1/7 tuổi của bố cách đây 4 năm. Tuổi của con sau 6 năm nữa bằng 1/2 tuổi của bố cách đây 4 năm. Từ đó ta có thể tìm được hiệu giữa tỉ số số tuổi của con cách đây 4 năm với số tuổi của bố cách đây 4 năm và tỉ số số tuổi của bố sau đây 6 năm với số tuổi của bố cách đây 4 năm.
- Từ khoảng cách thời gian cách đây 4 năm đến sau đây 6 năm ta tìm được số tuổi của bố cách đây 4 năm, từ đó tìm được số tuổi của bố và số tuổi của con hiện nay.
Giải: Tuổi con cách đây 4 năm so với tuổi bố cách đây 4 năm thì bằng: 1/7 (tuổi bố cách đây 4 năm)
Tuổi con sau 6 năm nữa so với tuổi bố cách đây 4 năm thì bằng: 1/2 (tuổi bố cách đây 4 năm)
Thời gian từ khi cách đây 4 năm đến sau 6 năm nữa là: 4 + 6 = 10 (năm)
Tuổi bố cách đây 4 năm là: 10 : (1/2 - 1/7) = 28 (tuổi)
Tuổi con cách đây 4 năm là: 28 : 7 = 4 (tuổi)
Tuổi bố hiện nay là: 28 + 4 = 32 (tuổi)
Tuổi con hiện nay là: 4 + 4 = 8 (tuổi)
Đáp số: Bố: 32 tuổi; con: 8 tuổi.
Ví dụ 2: Năm nay, tuổi của bố gấp 4 lần tuổi của con. Biết rằng sau 8 năm nữa thì tuổi của bố chỉ còn gấp 2,5 lần tuổi của con. Tính tuổi của bố và tuổi của con hiện nay.
Phân tích: Ta thấy hiệu số tuổi của bố và tuổi của con luôn không thay đổi do đó ta có thể so sánh tuổi của bố hoặc tuổi của con ở hai thời điểm với hiệu số tuổi của bố và tuổi của con. Từ khoảng thời gian giữa hai thời điểm đó ta có thể tìm được tuổi của bố hoặc tuổi của con ở mỗi thời điểm.
- Hiện nay, tuổi của bố gấp 4 lần tuổi của con suy ra tuổi của bố gấp 4/3 lần hiệu số tuổi của bố và tuổi của con hay tuổi của con bằng 1/3 hiệu số tuổi của bố và tuổi của con.
- Sau 8 năm nữa, tuổi của bố gấp 2,5 (5/2) lần tuổi của con suy ra tuổi của bố gấp 5/3 lần hiệu số tuổi của bố và tuổi của con hay tuổi của con bằng 2/3 hiệu số tuổi của bố và tuổi của con.
- Vậy 4/3 lần hiệu số tuổi của bố và tuổi của con kém 5/3 lần hiệu số tuổi của bố và tuổi của con là 8 năm hay 1/3 hiệu số tuổi của bố và tuổi của con kém 2/3 hiệu số tuổi của bố và tuổi của con cũng là 8 năm. Từ đó ta tìm được hiệu số tuổi của bố và tuổi của con và tìm được tuổi của bố, tuổi của con
Giải: Tuổi của bố hiện nay so với hiệu số tuổi của của bố và tuổi của con thì bằng:
= 4/3 (Hiệu số tuổi của bố và tuổi của con)
Tuổi của bố 8 năm sau so với hiệu số tuổi của của bố và tuổi của con thì bằng:
= 5/3 (Hiệu số tuổi của bố và tuổi của con)
Hiệu số tuổi của bố và tuổi của con là: 8 : (5/3 - 4/3) = 24 ( tuổi )
Tuổi của con hiện nay là: 24 : (4 - 1) = 8 (tuổi)
Tuổi của bố hiện nay là: 8 + 24 = 32 (tuổi)
Cách 2: Tuổi của con hiện nay so với hiệu số tuổi của của bố và tuổi của con thì bằng:
= 1/3 (Hiệu số tuổi của bố và tuổi của con)
Tuổi của con 8 năm sau so với hiệu số tuổi của bố và tuổi của con thì bằng:
= 2/3 (Hiệu số tuổi của bố và tuổi của con)
Hiệu số tuổi của của bố và tuổi của con là: 8 : (2/3 - 1/3) = 24 (tuổi)
Tuổi của con hiện nay là: 24 : (4 - 1) = 8 (tuổi)
Tuổi của bố hiện nay là: 8 + 24 = 32 (tuổi)
Đáp số: Bố: 32 tuổi; con: 8 tuổi.
Tài liệu vẫn còn, mời các bạn tải về để xem nội dung chi tiết
Để giúp các em học sinh lớp 4, lớp 5 giải các bài toán tính tuổi, quý phụ huynh có thể tham khảo thêm các dạng toán tính tuổi, các cách giải để hướng dẫn các em làm toán nhanh hơn.
Theo Nghị định 147/2024/ND-CP, bạn cần xác thực tài khoản trước khi sử dụng tính năng này. Chúng tôi sẽ gửi mã xác thực qua SMS hoặc Zalo tới số điện thoại mà bạn nhập dưới đây: