Hỗ trợ tư vấn
Tư vấn - Giải đáp - Hỗ trợ đặt tài liệu
Mua gói Pro để tải file trên Download.vn (không bao gồm tài liệu cao cấp) và trải nghiệm website không quảng cáo
Tìm hiểu thêm »Giải Vật lí 10 Bài 31: Động học của chuyển động tròn đều sách Kết nối tri thức với cuộc sống giúp các em học sinh lớp 10 có thêm nhiều gợi ý tham khảo để biết cách trả lời các câu hỏi bài học Bài 31 trang 120, 121, 122 thuộc chương 6: Chuyển động tròn đều.
Giải bài tập Vật lý 10 Bài 31 giúp các em hiểu được kiến thức về động học của chuyển động tròn đều, từ đó sẽ trả lời toàn bộ các câu hỏi của Bài 31 chương VI Vậy sau đây là nội dung chi tiết bài Soạn Vật lí 10 Bài 31: Động học của chuyển động tròn đều, mời các bạn cùng tải tại đây.
Câu hỏi 1 trang 120 SGK Lý 10 KNTT
Chứng minh rằng một radian là góc ở tâm chắn cung có độ dài bằng bán kính đường tròn.
Gợi ý đáp án
Trong toán học, ta đã biết mối quan hệ giữa độ dài cung với góc ở tâm và bán kính đường tròn: θ =
\(\frac{s}{R}\) (rad)
=> Khi θ = 1 rad thì s = R, hay một radian là góc ở tâm chắn cung có độ dài bằng bán kính đường tròn.
Câu hỏi 2 trang 120
Tính quãng đường đi được khi vật chuyển động tròn có độ dịch chuyển góc 1 rad, biết bán kính đường tròn là 2 m.
Gợi ý đáp án
Quãng đường đi được khi vật chuyển động tròn có độ dịch chuyển góc 1 rad thỏa mãn công thức:
θ =
\(\frac{s}{r}\) => s = θ.r = 1.2 = 2m
Câu hỏi 3 trang 120
Xét chuyển động của kim giờ đồng hồ. Tìm độ dịch chuyển góc của nó (theo độ và theo radian):
a) Trong mỗi giờ.
b) Trong khoảng thời gian từ 12 giờ đến 15 giờ 30 phút.
Gợi ý đáp án
a) Trong một giờ, kim giờ đồng hồ dịch chuyển được
\(\frac{1}{12}\) vòng. Vậy độ dịch chuyển góc của nó trong mỗi giờ là:
θ =
\(\frac{1}{12}\).360o = 30o =
\(\frac{\pi }{6}\)rad
b) Ta có: 15 giờ 30 phút – 12 giờ = 3,5 giờ
Độ dịch chuyển góc của kim giờ đồng hồ trong khoảng thời gian này là:
θ = 3,5.
\(\frac{1}{12}\).360o = 105o =
\(\frac{7\pi }{12}\)rad
Câu hỏi trang 121
Dựa vào việc quan sát chuyển động của kim giây quay đều trong đồng hồ để:
So sánh tốc độ của các điểm khác nhau trên kim;
Gợi ý đáp án
Thông qua quan sát, ta thấy:
Tốc độ của các điểm khác nhau trên kim là như nhau.
Câu hỏi trang 121
Dựa vào việc quan sát chuyển động của kim giây quay đều trong đồng hồ để:
So sánh độ dịch chuyển góc trong cùng khoảng thời gian của các điểm khác nhau trên kim.
Gợi ý đáp án
Thông qua quan sát, ta thấy:
Độ dịch chuyển góc trong cùng khoảng thời gian của các điểm khác nhau trên kim là như nhau.
Câu hỏi 1 trang 121 SGK
Hãy tính tốc độ góc của kim giờ và kim phút của đồng hồ.
Gợi ý đáp án
Kim giờ quay một vòng hết 12 h = 43200 s
=> Tốc độ góc của kim giờ là: ω =
\(\frac{\theta }{t}\) =
\(\frac{2\pi }{43200}\) ≈ 1,45.10-4rad/s
Kim phút quay một vòng hết 60 phút = 3600 s
=> Tốc độ góc của kim phút là: ω' = θt' =
\(\frac{2\pi }{3600}\) ≈ 1,75.10-3rad/s
Câu hỏi 2 trang 121
Roto trong một tổ máy của nhà máy thủy điện Hòa Bình quay 125 vòng mỗi phút. Hãy tính tốc độ góc của roto này theo đơn vị rad/s.
Gợi ý đáp án
- Trong 1 giây roto này quay được số vòng là:
\(\frac{125}{60}\) =
\(\frac{25}{12}\) = 2512 vòng
- Tốc độ góc của roto này là: ω =
\(\frac{\theta }{t}\) =
\(\frac{2\pi.\frac{25}{12} }{1}\) ≈ 13,1rad/s
Câu hỏi 1 trang 121
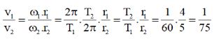
Biết chiều dài kim phút và kim giây của một chiếc đồng hồ lần lượt là 4 cm và 5 cm. Hãy tính:
a) Tỉ số chu kì quay của hai kim.
b) Tỉ số tốc độ của đầu kim phút và đầu kim giây.
Gợi ý đáp án
a) Chu kì là thời gian để vật quay hết một vòng.
- Thời gian kim phút quay hết một vòng là 60 phút = 3600 s
=> Chu kì quay của kim phút là: T1 = 3600 s
- Thời gian kim giây quay hết một vòng là 60 s
=> Chu kì quay của kim giây là: T2 = 60 s
- Tỉ số chu kì quay của kim giây và kim phút là:
\(\frac{T_{2} }{T_{1} }\) =
\(\frac{60}{3600}\) = 160
b) Tỉ số tốc độ của đầu kim phút và đầu kim giây là:

Câu hỏi 2 trang 121
Xét một điểm nằm trên đường xích đạo trong chuyển động tự quay của Trái Đất. Biết bán kính Trái Đất tại xích đạo là 6400 km. Hãy tính:
a) Chu kì chuyển động của điểm đó.
b) Tốc độ và tốc độ góc của điểm đó.
Gợi ý đáp án
a) Thời gian Trái Đất tự quay được 1 vòng là 24 h = 86400 s
=> Chu kì chuyển động của một điểm nằm trên đường xích đạo bằng với chu kì tự quay của Trái Đất và bằng 86400 s.
- Tốc độ góc của điểm đó là:
ω =
\(\frac{2\pi }{T}\) =
\(\frac{2\pi }{86400}\) ≈ 7,27.10-5rad/s
Đổi 6400 km = 64.105 m
- Tốc độ của điểm đó là:
v = ω.r = 7,27.10-5.64.105 = 465,28m/s.
Câu hỏi 1 trang 122
Phân biệt tốc độ và vận tốc tức thời trong chuyển động tròn đều.
Gợi ý đáp án
Trong chuyển động tròn đều:
- Tốc độ của vật có độ lớn không đổi, đặc trưng cho sự nhanh hay chậm của chuyển động trên đoạn đường s xác định.
- Vận tốc tức thời thì đặc trưng cho tính nhanh chậm của từng điểm trên quỹ đạo và cho biết hướng của chuyển động.
Câu hỏi 2 trang 122 SGK Lý 10 KNTT
Nêu mối quan hệ giữa tốc độ v, chu kì T và bán kính r của một vật chuyển động tròn đều.
Gợi ý đáp án
Khi một vật chuyển động tròn đều, ta có: v = ω.r =
\(\frac{2\pi }{T}\).r.
Theo Nghị định 147/2024/ND-CP, bạn cần xác thực tài khoản trước khi sử dụng tính năng này. Chúng tôi sẽ gửi mã xác thực qua SMS hoặc Zalo tới số điện thoại mà bạn nhập dưới đây: