Hỗ trợ tư vấn
Tư vấn - Giải đáp - Hỗ trợ đặt tài liệu
Mua gói Pro để tải file trên Download.vn và trải nghiệm website không quảng cáo
Tìm hiểu thêm »Giải bài tập KHTN 9 Bài tập Chủ đề 10 giúp các em học sinh trả lời các câu hỏi trong SGK Khoa học tự nhiên 9 Cánh diều trang 158.
Giải Khoa học tự nhiên 9 Bài tập Chủ đề 10 được biên soạn bám sát theo chương trình SGK. Đồng thời, cũng giúp thầy cô tham khảo để soạn giáo án Bài tập Chủ đề 10: Khai thác tài nguyên từ vỏ Trái Đất - Phần 3: Trái đất và bầu trời cho học sinh của mình. Vậy mời thầy cô và các em cùng theo dõi nội dung chi tiết trong bài viết dưới đây của Download.vn:
Người ta thường bơm không khí vào hố gas hoặc đáy giếng sâu trước khi tiến hành thu gom rác hoặc nạo vét. Hãy cho biết nguyên nhân và mục đích của việc làm trên.
Trả lời:
Hố gas trong hệ thống dẫn nước thải hoặc đáy giếng sâu thường tích tụ rác thải nên tích tụ khí methane và một số chất độc hại khác; thiếu khí oxygen. Vì vậy, người ta thường bơm không khí vào hố gas hoặc đáy giếng sâu trước khi tiến hành thu gom rác hoặc nạo vét để giảm lượng khí methane và tăng lượng khí oxygen tránh được nguy cơ ngạt khí.
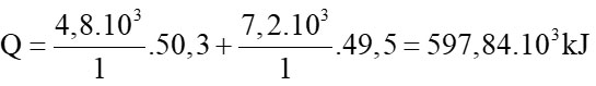
Một loại bình gas (loại 12 kg) được sử dụng trong gia đình chứa hỗn hợp gồm 4,8 kg propane và 7,2 kg butane. Biết nhiệt lượng sinh ra khi đốt cháy 1 gam propane là 50,3 kJ và khi đốt cháy 1 gam butane là 49,5 kJ. Tính nhiệt lượng sinh ra khi đốt cháy hết lượng khí trong bình gas trên.
Trả lời:
Nhiệt lượng sinh ra khi đốt cháy hết lượng khí trong bình gas là:

Mở rộng: 1 kg = 1 000 gam = 103 gam.
Theo em, nhiệt độ môi trường tăng cao do sự ấm lên toàn cầu sẽ ảnh hưởng như thế nào đến lượng oxygen hoà tan trong nước ở các khu vực nuôi cá?
Theo Nghị định 147/2024/ND-CP, bạn cần xác thực tài khoản trước khi sử dụng tính năng này. Chúng tôi sẽ gửi mã xác thực qua SMS hoặc Zalo tới số điện thoại mà bạn nhập dưới đây:
Mở khóa quyền truy cập vào hàng ngàn tài liệu độc quyền và nhận hỗ trợ nhanh chóng từ đội ngũ của chúng tôi.