Hỗ trợ tư vấn
Tư vấn - Giải đáp - Hỗ trợ đặt tài liệu
Mua gói Pro để tải file trên Download.vn (không bao gồm tài liệu cao cấp) và trải nghiệm website không quảng cáo
Tìm hiểu thêm »Giải bài tập SGK Hóa học 12 trang 89, 90, 91, 92, 93 sách Kết nối tri thức với cuộc sống giúp các em học sinh lớp 12 xem gợi ý giải các câu hỏi Bài 19: Tính chất vật lí và tính chất hoá học của kim loại thuộc Chương 6: Đại cương về kim loại.
Soạn Hóa 12 Kết nối tri thức Bài 19 các em sẽ biết cách trả lời toàn bộ các câu hỏi bài học này. Đồng thời, qua tài liệu này giúp quý thầy cô tham khảo để soạn giáo án cho học sinh của mình theo chương trình mới. Vậy mời thầy cô và các em cùng theo dõi bài viết dưới đây của Download.vn:
Tại sao kim loại có thể được sử dụng làm dây dẫn điện, chế tạo dụng cụ đun nấu, dùng trong công trình xây dựng? Kim loại có những tính chất hoá học đặc trưng nào?
Lời giải:
- Nhờ tính dẫn điện tốt mà kim loại được sử dụng làm dây dẫn điện; nhờ tính dẫn nhiệt tốt mà kim loại được dùng để chế tạo dụng cụ đun nấu; nhờ tính cứng và bền mà kim loại được dùng trong các công trình xây dựng.
- Kim loại có các tính chất hoá học đặc trưng: tác dụng với phi kim, tác dụng với nước, tác dụng với dung dịch acid, tác dụng với dung dịch muối.
Vì sao kim loại có tính dẻo?
Lời giải:
Kim loại có tính dẻo do các ion dương trong mạng tinh thể kim loại có thể trượt lên nhau mà không tách rời nhau nhờ lực hút tĩnh điện giữa chúng với các electron hoá trị tự do.
a) Hãy nêu sự khác biệt giữa liên kết kim loại và liên kết cộng hoá trị.
b) Vì sao kim loại có tính dẫn điện, trong khi hầu hết các phi kim không dẫn điện?
Lời giải:
a) Sự khác biệt giữa liên kết kim loại và liên kết cộng hoá trị:
- Liên kết kim loại: sự dùng chung electron giữa các nguyên tử kim loại.
- Liên kết cộng hoá trị: sự dùng chung electron giữa hai nguyên tử tham gia liên kết.
b) Khi một hiệu điện thế được áp vào thanh kim loại, các electron tự do trong mạng tinh thể sẽ di chuyển thành dòng từ phía cực âm về cực dương. Hệ quả là thanh kim loại trở thành vật dẫn điện.
Vì sao kim loại có tính dẫn nhiệt tốt? Hãy nêu một số ứng dụng của kim loại dựa trên tính dẫn nhiệt của chúng.
Lời giải:
Tính dẫn nhiệt của các kim loại được giải thích bằng sự có mặt của các electron tự do trong mạng tinh thể. Khi đốt nóng một đầu của thanh kim loại thì động năng của các electron trong vùng đó tăng lên. Các electron này truyền động năng của chúng cho các ion dương ở nút mạng và các electron khác trong toàn thanh kim loại thông qua va chạm, làm cho nhiệt được lan truyền trong toàn bộ thanh kim loại.
Một số ứng dụng của kim loại dựa trên tính dẫn nhiệt của chúng: chế tạo dụng cụ đun nấu, chế tạo bộ phận tản nhiệt trong các thiết bị …
Vì sao kim loại có tính ánh kim? Hãy nêu một số ứng dụng của kim loại dựa trên tính ánh kim của chúng.
Lời giải:
Các electron tự do trong tinh thể kim loại phản xạ hầu hết những tia sáng nhìn thấy được, do đó kim loại có vẻ sáng lấp lánh, gọi là ánh kim.
Nhờ tính ánh kim mà kim loại được dùng để chế tạo trang sức, đồ vật trang trí …
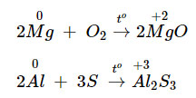
Khi tác dụng với phi kim, kim loại thể hiện tính chất hoá học gì? Minh hoạ bằng các phương trình hoá học.
Lời giải:
Khi tác dụng với phi kim, kim loại thể hiện tính khử.
Ví dụ:

Hãy cho biết kim loại nào trong Bảng 15.1 có thể phản ứng với nước ở nhiệt độ thường giải phóng khí hydrogen.
Lời giải:
Những kim loại có thế điện cực chuẩn
nhỏ hơn -0,414 có thể đẩy được hydrogen ra khỏi nước.
Quan sát Bảng 15.1 xác định được: Li, K, Ba, Ca, Na, Mg, Al, Zn, Cr, Fe có thể phản ứng với nước ở nhiệt độ thường giải phóng khí hydrogen.
Tuy nhiên chỉ có các kim loại Li, K, Ba, Ca, Na phản ứng nhanh với nước ở điều kiện thường, các kim loại còn lại phản ứng rất chậm hoặc gần như không xảy ra.
Các kim loại từ Cu đến Au trong dãy điện hóa không đẩy được H2 ra khỏi dung dịch của các acid như HCl, H2SO4 loãng. Hãy dựa vào thế điện cực chuẩn của các cặp oxi hóa – khử tương ứng để giải thích.
Lời giải:
Ta có:

Nhận thấy thế điện cực chuẩn của các cặp oxi hóa – khử này lớn hơn rất nhiều so với thế điện cực chuẩn của hydrogen nên các kim loại từ Cu đến Au trong dãy điện hóa không đẩy được H 2 ra khỏi dung dịch của các acid như HCl, H 2 SO 4 loãng.
Theo Nghị định 147/2024/ND-CP, bạn cần xác thực tài khoản trước khi sử dụng tính năng này. Chúng tôi sẽ gửi mã xác thực qua SMS hoặc Zalo tới số điện thoại mà bạn nhập dưới đây: