Hỗ trợ tư vấn
Tư vấn - Giải đáp - Hỗ trợ đặt tài liệu
Mua gói Pro để tải file trên Download.vn (không bao gồm tài liệu cao cấp) và trải nghiệm website không quảng cáo
Tìm hiểu thêm »
ĐẠI HỌC QUỐC GIA HÀ NỘI
|
ĐỀ THI VÀO LỚP 10 HỆ THPT CHUYÊN
|
Câu I.
1) Giải phương trình ![]()
2) Giải hệ phương trình:
Câu II.
1) Tìm tất cả các cặp số nguyên (x; y) thỏa mãn đẳng thức: (x + y + 1)(xy + x + y) = 5 + 2(x + y)
2) Giả sử x, y la các số thực dương thỏa mãn điêu kiện: ![]()
Tìm giá trị nhỏ nhất của biểu thức: ![]()
Câu III.
Cho tam giác nhọn ABC nội tiếp đường tròn tâm O. Gọi M là một điểm trên cung nhỏ BC (M khác B, C và AM không đi qua O). Giả sử P là một điểm thuộc đoạn thẳng AM sao cho đường tròn đường kính MP cắt cung nhỏ BC tại điểm N khác M.
1) Gọi D là điểm đối xứng với điểm M qua O. Chứng minh rằng N, P, D thẳng hàng
2) Đường tròn đường kính MP cắt MD tại Q khác M. Chứng minh rằng Q là tâm đườn tròn nội tiếp tam giác AQN.
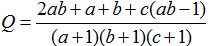
Câu IV.
Giả sử a,b,c là các số thực dương thỏa mãn a ≤ b ≤ 3 ≤ c; c ≥ b + 1; a + b ≥ c. Tìm giá trị nhỏ nhất của biểu thức:![]()
Download tài liệu để xem thêm chi tiết.
Theo Nghị định 147/2024/ND-CP, bạn cần xác thực tài khoản trước khi sử dụng tính năng này. Chúng tôi sẽ gửi mã xác thực qua SMS hoặc Zalo tới số điện thoại mà bạn nhập dưới đây: