Hỗ trợ tư vấn
Tư vấn - Giải đáp - Hỗ trợ đặt tài liệu
Mua gói Pro để tải file trên Download.vn (không bao gồm tài liệu cao cấp) và trải nghiệm website không quảng cáo
Tìm hiểu thêm »
SỞ GIÁO DỤC VÀ ĐÀO TẠO
|
KÌ THI TUYỂN SINH LỚP 10 THPT
|
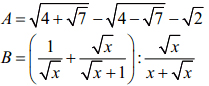
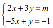
Câu 1: (1,5 điểm)
Thu gọn các biểu thức:

Câu 2: (1,5 điểm)
Cho hệ phương trình: 
1. Giải hệ khi m = 3
2. Tìm m để hệ có nghiệm x > 0, y > 0
Câu 3: (2,0 điểm)
Cho phương trình: ![]()
1. Giải phương trình (1) khi m = -4
2. Tìm m để phương trình (1) có hai nghiệm phân biệt x1, x2 thỏa mãn
.
Câu 4: (4,0 điểm)
Từ một điểm A ngoài đường tròn (O), vẽ hai tiếp tuyến AB và AC và cát tuyến AMN của đường tròn đó. Gọi I là trung điểm dây MN, H là giao điểm của AO và BC. Chứng minh:
a. Năm điểm A, B, I, O, C cùng nằm trên một đường tròn
b. AB2 = AM.AN
c. góc AHM = góc ANO
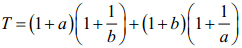
Câu 5: (1,0 điểm)
Cho a, b > 0 và a2 + b2 = 1. Tìm giá trị nhỏ nhất của biểu thức:![]()
Download tài liệu để xem thêm chi tiết.
Theo Nghị định 147/2024/ND-CP, bạn cần xác thực tài khoản trước khi sử dụng tính năng này. Chúng tôi sẽ gửi mã xác thực qua SMS hoặc Zalo tới số điện thoại mà bạn nhập dưới đây: