Hỗ trợ tư vấn
Tư vấn - Giải đáp - Hỗ trợ đặt tài liệu
Mua gói Pro để tải file trên Download.vn (không bao gồm tài liệu cao cấp) và trải nghiệm website không quảng cáo
Tìm hiểu thêm »
SỞ GIÁO DỤC VÀ ĐÀO TẠO
|
KÌ THI TUYỂN SINH LỚP 10 THPT
|
Bài 1. (1 điểm)
Cho biểu thức ![]()
1/ Rút gọn biểu thức A
2/ Tính giá trị của A khi x = √3
Bài 2. (1,5 điểm)
Cho hai hàm số bậc nhất y = x – m và y = -2x + m – 1
1/ Với giá trị nào của m thì đồ thị của các hàm số trên cắt nhau tại một điểm thuộc trục hoành.
2/ Với m = -1, Vẽ đồ thị các hàm số trên cùng mặt phẳng tọa độ Oxy
Bài 3. (2 điểm)
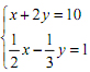
1/ Giải hệ phương trình 
2/ Giải phương trình: x - 2√x= 6 - 3√x
Bài 4. (2 điểm)
1/ Tìm giá trị m trong phương trình bậc hai x2 – 12x + m = 0, biết rằng phương trình có hiệu hai nghiệm bằng 2√5
2/ Có 70 cây được trồng thành các hàng đều nhau trong một miếng đất. Nếu bớt đi 2 hàng thi mỗi hàng còn lại phải trồng thêm 4 cây mới hết số cây đã có. Hỏi lúc đầu có bao nhiêu hàng cây?
Bài 5. (2 điểm)
Cho đường tròn (O) đường kính AB, trên tia OA lấy điểm C sao cho AC = AO. Từ C kẻ tiếp tuyến CD với (O) (D là tiếp điểm)
1/ Chứng minh tam giác ADO là tam giác đều
2/ Kẻ tia Ax song song với CD, cắt DB tại I và cắt đường tròn (O) tại E. Chứng minh tam giác AIB là tam giác cân.
3/ Chứng minh tứ giác ADIO là tứ giác nội tiếp
4/ Chứng minh OE vuông góc DB.
Download tài liệu để xem thêm chi tiết.
Theo Nghị định 147/2024/ND-CP, bạn cần xác thực tài khoản trước khi sử dụng tính năng này. Chúng tôi sẽ gửi mã xác thực qua SMS hoặc Zalo tới số điện thoại mà bạn nhập dưới đây: