Đề thi tuyển sinh lớp 10 THPT tỉnh Đăk Lăk năm học 2013 - 2014 môn Toán (Có đáp án) Sở GD-ĐT Đăk Lăk

SỞ GIÁO DỤC VÀ ĐÀO TẠO
ĐĂK LĂK

ĐỀ THI CHÍNH THỨC

KÌ THI TUYỂN SINH LỚP 10 THPT
NĂM HỌC 2013 - 2014

MÔN THI: TOÁN
Ngày thi: 25/06/2013
Thời gian làm bài: 120 phút (không kể thời gian giao đề)

Câu 1: (1,5 điểm)

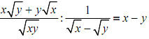
1) Rút gọn biểu thức:

2) Chứng minh rằng: ; với x > 0, y > 0 và x # y

Câu 2: (2,0 điểm)

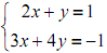
1) Giải hệ phương trình

2) Giải phương trình:

Câu 3: (2,0 điểm)

Cho phương trình x2 + 2(m + 1)x + m2 = 0 (m là tham số)

1) Tìm m để phương trình có nghiệm.

2) Tìm m để phương trình có hai nghiệm x1, x2 sao cho x12 + x22 - 5x1x2 = 13

Câu 4: (3,5 điểm)

Cho đường tròn (O), đường kính AB. Vẽ các tiếp tuyến Ax, By của đường tròn. M là một điểm trên đường tròn (M khác A, B). Tiếp tuyến tại M của đường tròn cắt Ax, By lần lượt tại P, Q.

1) Chứng minh rằng: tứ giác APMO nội tiếp.

2) Chứng minh rằng: AP + BQ = PQ.

3) Chứng minh rằng: AP.BQ=AO2

4) Khi điểm M di động trên đường tròn (O), tìm các vị trí của điểm M sao cho diện tích tứ giác APQB nhỏ nhất.

Câu 5: (1,0 điểm)

Cho các số thực x, y thỏa mãn: x + 3y = 5. Tìm giá trị nhỏ nhất của biểu thức: A = x2 + y2 + 16y + 2x

Download tài liệu để xem thêm chi tiết.

Chia sẻ bởi:
Liên kết tải về
Tìm thêm: Toán 9
Xác thực tài khoản!

Theo Nghị định 147/2024/ND-CP, bạn cần xác thực tài khoản trước khi sử dụng tính năng này. Chúng tôi sẽ gửi mã xác thực qua SMS hoặc Zalo tới số điện thoại mà bạn nhập dưới đây:

Số điện thoại chưa đúng định dạng!
Số điện thoại này đã được xác thực!
Bạn có thể dùng Sđt này đăng nhập tại đây!
Lỗi gửi SMS, liên hệ Admin
Sắp xếp theo
👨
Đóng
Chỉ thành viên Download Pro tải được nội dung này! Download Pro - Tải nhanh, website không quảng cáo! Tìm hiểu thêm
Nhắn tin Zalo