Hỗ trợ tư vấn
Tư vấn - Giải đáp - Hỗ trợ đặt tài liệu
Mua gói Pro để tải file trên Download.vn (không bao gồm tài liệu cao cấp) và trải nghiệm website không quảng cáo
Tìm hiểu thêm »
SỞ GIÁO DỤC VÀ ĐÀO TẠO
|
KỲ THI TUYỂN SINH VÀO LỚP 10 THPT
|
Câu 1: (3,0 điểm)
1) Giải phương trình: (x2 - 2x - 3)(x2 + 10x + 21) = 25
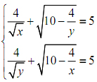
2) Giải hệ phương trình: 
Câu 2: (4,0 điểm)
1) Tìm số tự nhiên n lớn nhất sao cho 2015 viết được dưới dạng: 2015 = a1 + a2 + ... + an, với các số a1, a2, ..., an đều là hợp số.
2) Tìm số dư khi chia 20122013 + 20152014 cho 11
3) Cho a, b, c là những số dương thỏa mãn đẳng thức: ![]()
Chứng minh rằng: 
Câu 3: (1,5 điểm)
Cho nửa đường tròn (O) đường kính AB. Gọi C là điểm chính giữa cung AB, M là một điểm bất kỳ trên cung AC. Tia phân giác của góc COM cắt BM tại điểm D. Chứng minh rằng khi điểm M di động trên cung AC thì điểm D thuộc một đường tròn cố định.
Câu 4: (1,5 điểm)
Cho tam giác đều ABC. Lấy điểm P tùy ý trong tam giác ABC. Từ điểm P hạ PD, PE, PF lần lượt vuông góc tới các cạnh BC, CA, AB. Tính tỉ số
.
Download tài liệu để xem thêm chi tiết.
Theo Nghị định 147/2024/ND-CP, bạn cần xác thực tài khoản trước khi sử dụng tính năng này. Chúng tôi sẽ gửi mã xác thực qua SMS hoặc Zalo tới số điện thoại mà bạn nhập dưới đây: