Hỗ trợ tư vấn
Tư vấn - Giải đáp - Hỗ trợ đặt tài liệu
Mua gói Pro để tải file trên Download.vn (không bao gồm tài liệu cao cấp) và trải nghiệm website không quảng cáo
Tìm hiểu thêm »
SỞ GIÁO DỤC VÀ ĐÀO TẠO
|
ĐỀ THI CHỌN HỌC SINH GIỎI CẤP TỈNH
|
Bài 1.
Cho tập S = {x thuộc R / x3 - x2 - 3x + 3 ≥ 0}. Tìm giá trị lớn nhất của hàm số f(x) = - x4 + 3x2 + 2 trên tập S
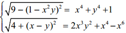
Bài 2.
Giải hệ phương trình: 
Bài 3.
Chứng minh rằng nếu ![]()
Bài 4.
Cho tam giác ABC có các cạnh là AB = c, BC = a, CA = b. Gọi AD = la, BE = lb, CF = lc lần lượt là độ dài đường phân giác trong của góc A, góc B và góc C của tam giác ABC.
a) Chứng minh rằng: la2 = bc – DB.DC
b) Chứng minh rằng nếu b > c thì lb < lc.
Bài 5.
Tìm đa thức P( x) với hệ số thực, thỏa mãn các điều kiện:
i) P(1) = 2014;
ii) (x+ 1)(x + 2)P(x) = x2P(x+ 1), với mọi x thuộc R.
Bài 6.
Trong mặt phẳng cho n đường thẳng (n ≥ 1), trong đó không có 2 đường thẳng nào song song với nhau và không có 3 đường thẳng nào đồng quy.
a) Tính số miền của mặt phẳng được tạo thành từ n đường thẳng đã cho.
b) Chứng minh rằng ta có thể tô các miền trên bằng một trong hai màu khác nhau sao cho hai miền có cạnh chung thì khác màu.
Câu 1:
Đọc câu chuyện sau đây và thực hiện yêu cầu được nêu bên dưới:
Người đi săn và con vượn
Ngày xưa, có một người săn bắn rất tài. Nếu con thú rừng nào không may gặp bác ta thì hôm đó coi như ngày tận số. Một hôm, người đi săn xách nỏ vào rừng. Bác thấy một con vượn lông xám đang ngồi ôm con trên tảng đá. Bác nhẹ nhàng rút mũi tên bắn trúng vượn mẹ. Vượn mẹ giật mình, hết nhìn mũi tên lại nhìn về phía người đi săn bằng đôi mắt căm giận, tay không rời con. Máu ở vết thương rỉ ra loang khắp ngực.
Người đi săn đứng im chờ kết quả....
Bỗng vượn mẹ nhẹ nhàng đặt con nằm xuống, vơ vội nắm bùi nhùi gối lên đầu con, rồi nó hái cái lá to, vắt sữa vào và đặt lên miệng con. Sau đó, vượn mẹ nghiến răng, giật phắt mũi tên ra, hét lên một tiếng thật to rồi ngã xuống. Người đi săn đứng ặng. Hai giọt nước mắt từ từ lăn trên má. Bác cắn môi, bẻ gãy nỏ và lẳng lặng quay gót ra về. Từ đấy, bác không bao giờ đi săn nữa.
Theo Lép-Tôn-xtôi (Bộ Giáo dục và Đào tạo (2012), Tiếng Việt 3, tập 2, trang 113-114, Nxb Giáo dục)
Viết bài văn xuôi không quá 3 trang giấy thi với tựa đề tự đặt để trình bày suy nghĩ của anh (chị) về những bài học đạo lí được rút ra từ câu chuyện.
Câu 2:
“Cái tài của nhà thơ không phải là khả năng đánh bóng chữ nghĩa cho trơn tru, bay bướm, mà phụ thuộc vào cảm xúc trí tuệ của tác giả, bởi cái gốc của thơ vẫn là cái tình, lẫn cái tư duy trí tuệ về con người và thời cuộc. Vui thật, buồn thật, đau thật,…là những điều mà người tinh ý thường dễ cảm nhận khi được thưởng thức thơ. Nhưng ngần ấy thì chưa đủ. Nhà thơ còn phải làm cho người đọc ngạc nhiên về những điều mình suy nghĩ, như phát hiện ra một thi ảnh mới, một nhạc điệu mới, một tư tưởng mới hay một chân lí mới bằng thứ ngôn ngữ đắc dụng của nó”.
(Nguyễn Trọng Tạo (2013), Báo Văn nghệ, số37, trang 18)
Suy nghĩ của anh (chị) về ý kiến trên.
Download tài liệu để xem chi tiết.
Theo Nghị định 147/2024/ND-CP, bạn cần xác thực tài khoản trước khi sử dụng tính năng này. Chúng tôi sẽ gửi mã xác thực qua SMS hoặc Zalo tới số điện thoại mà bạn nhập dưới đây: