Hỗ trợ tư vấn
Tư vấn - Giải đáp - Hỗ trợ đặt tài liệu
Mua gói Pro để tải file trên Download.vn (không bao gồm tài liệu cao cấp) và trải nghiệm website không quảng cáo
Tìm hiểu thêm »
SỞ GIÁO DỤC VÀ ĐÀO TẠO
|
ĐỀ THI CHỌN HỌC SINH GIỎI CẤP TỈNH
|
Câu 1: (6,0 điểm)
a) Giải phương trình (2cosx - 1)(sinx + cosx) = 1
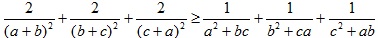
b) Cho a, b, c là các số thực dương. Chứng minh rằng ta có bất đẳng thức:![]()
Câu 2: (3,0 điểm)
a) Chứng minh rằng nếu p là số nguyên tố dạng 4k+3 thì không tồn tại số nguyên dương n sao cho n2 + 1 chia hết cho p.
b) Giải phương trình nghiệm nguyên: (x + y)2 + 2 = 2x + 2013y
Câu 3: (4,0 điểm)
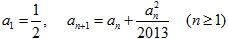
Cho dãy số (an) thỏa mãn điều kiện: ![]()
a) Chứng minh rằng dãy (an) là dãy số tăng nhưng không bị chặn trên.
b) Đặt ![]()
Câu 4: (5,0 điểm)
Tam giác ABC nhọn có H là trực tâm; AH, BH, CH lần lượt cắt BC, CA, AB tại M, N, P; AE và MF cùng vuông góc với NP (với E, F thuộc NP).
a) Chứng minh rằng H là tâm đường tròn nội tiếp tam giác MNP và A là tâm đường tròn bàng tiếp góc M của tam giác MNP.
b) Chứng minh đường thẳng EH đi qua trung điểm của MF.
Câu 5: (2,0 điểm)
Cho dãy các phân số ![]()
Người ta biến đổi dãy số bằng cách xóa đi hai số a, b bất kỳ và thay bằng số mới a + b + ab. Sau một lần biến đổi như vậy, số các số hạng của dãy số giảm đi một đơn vị so với dãy trước đó. Chứng minh rằng giá trị của số hạng cuối cùng còn lại sau 2012 lần biến đổi không phụ thuộc vào thứ tự thực hiện và hãy tìm giá trị đó.
Câu 1: (3,0 điểm)
Một thanh kim loại AB đồng chất phân bố đều, chiều dài l= 0,6m, khối lượng M = 1,6kg. Đầu B có mang quả nặng m = 0,7kg coi như chất điểm, AB có thể quay quanh trục nằm ngang đi qua điểm A (Hình 1).
1) Đầu B được nối bằng một sợi dây nhẹ vào điểm O cố định. Điểm O nằm trên đường thẳng đứng đi qua A và cách A đoạn 0,6m. Biết dây OB dài l = 0,6m. Tính lực căng dây OB.
2) Người ta cắt dây, tính động năng của cơ hệ và vận tốc của m khi thanh AB có vị trí thẳng đứng. Bỏ qua ma sát. Cho g = 10m/s2.

Câu 2: (3,0 điểm)
Một cái thang có khối lượng m = 15kg được đặt trên sàn nhám và dựa vào tường nhẵn không ma sát dưới góc nghiêng α (Hình 2). Hệ số ma sát giữa thang và sàn là k = 0,7. Cho g = 10m/s2.
1) Thang đứng yên cân bằng, tìm các lực tác dụng lên thang nếu góc α = 45o.
2) Tìm các giá trị của góc α để thang đứng yên, không trượt trên sàn.
Câu 3: (3,0 điểm)
Một bình đựng khí Ôxi nén có dung tích 20 lít. Ôxi trong bình có nhiệt độ 17oC và áp suất 1,03.107N/m2.
1) Tính khối lượng Ôxi có trong bình.
2) Áp suất của Ôxi trong bình sẽ bằng bao nhiêu nếu một nửa lượng khí Ôxi đã được dùng và nhiệt độ lúc đó là 13oC.

Câu 4: (3,0 điểm)
Cho mạch điện như hình 3. UAB = 6V, không đổi. Khi K mở, ampe kế A1 chỉ 1,2A. Khi K đóng ampe kế A1 và A2 lần lượt chỉ 1,4A và 0,5A. Điện trở của các ampe kế rất nhỏ. Tụ điện có điện dung C = 3µF.
1) Tính R1, R2, R3.
2) Tính điện tích của tụ điện sau khi K đóng.

Câu 5: (3,0 điểm)
Cho cơ hệ như hình 4. Các lò xo nhẹ, có độ cứng lần lượt là k1 = 120N/m; k2 = 80N/m. Thanh ngang khối lượng M = 1,5kg. Vật nhỏ khối lượng m = 0,5kg rơi tự do từ độ cao h = 20cm xuống và gắn chặt vào thanh, hệ bắt đầu dao động. Coi thanh luôn nằm ngang. Bỏ qua lực cản, ma sát. Cho g = 10m/s2.
1) Chứng minh hệ dao động điều hòa. Tính chu kỳ dao động.
2) Tìm biên độ dao động của hệ.

Câu 6: (3,0 điểm)
Một vật sáng AB đặt cố định, song song và cách màn ảnh 1,8m. Một thấu kính hội tụ có tiêu cự f, được đặt trong khoảng giữa vật và màn. Trục chính của thấu kính vuông góc với vật và màn, điểm A nằm trên trục chính.
1) Cho f = 25cm. Xác định vị trí thấu kính để có ảnh rõ nét trên màn.
2) Xác định tiêu cự của thấu kính để chỉ có một vị trí của nó cho ảnh rõ nét trên màn?
Câu 7: (2,0 điểm)
Cho các dụng cụ gồm: một cân điện tử, một bình thủy tinh có chia độ để xác định thể tích, một khí áp kế đo áp suất khí trong bình, một pít-tông đậy kín bình và một ít gạo ăn. Hãy trình bày một phương án đo khối lượng riêng của gạo.
Download tài liệu để xem chi tiết.
Theo Nghị định 147/2024/ND-CP, bạn cần xác thực tài khoản trước khi sử dụng tính năng này. Chúng tôi sẽ gửi mã xác thực qua SMS hoặc Zalo tới số điện thoại mà bạn nhập dưới đây: