Hỗ trợ tư vấn
Tư vấn - Giải đáp - Hỗ trợ đặt tài liệu
Mua gói Pro để tải file trên Download.vn (không bao gồm tài liệu cao cấp) và trải nghiệm website không quảng cáo
Tìm hiểu thêm »
SỞ GIÁO DỤC VÀ ĐÀO TẠO
|
ĐỀ THI CHỌN HỌC SINH GIỎI CẤP TỈNH
|
Bài 1 (6 điểm).
a) Giải phương trình sau trên ¡: ![]()
b) Giải bất phương trình sau: ![]()
Bài 2 (3 điểm)
Tìm tất cả các số nguyên dương n sao cho hai số n + 26 và n - 11 đều là lập phương của hai số nguyên dương nào đó.
Bài 3 (3 điểm)
Cho tam giác ABC và điểm K thuộc cạnh BC sao cho KB = 2KC, L là hình chiếu của B trên AK, F là trung điểm của BC, biết rằng KAB = 2KAC. Chứng minh rằng FL vuông góc với AC.
Bài 4 (4 điểm)
Cho A là tập hợp gồm 8 phần tử, tìm số lớn nhất các tập con gồm 3 phần tử của A sao cho giao của 2 tập bất kỳ trong các tập con này không phải là một tập hợp gồm 2 phần tử.
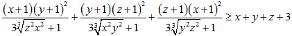
Bài 5 (4 điểm)
Cho các số dương x, y, z. Chứng minh bất đẳng thức:

Câu 1 (8,0 điểm)
Suy nghĩ của em sau khi đọc bài báo Tôi ước được nhận hoa 8/3 từ 3 con học đại học.
“…Vì muốn con cái của mình không vất vả, bà Vi lăn ra làm những công việc chỉ dành cho nam giới. Từng bao xi măng đè lên vai, từng thúng cát đè lên đầu, từng xô xi măng thoăn thoắt đổ nền nhà, làm mái cho các công trình,…Hết mùa bê tông, lại đến mùa phun thuốc sâu thuê. Nhiều người trong làng bận việc hoặc tránh độc hại nên đến nhà nhờ bà Vi. Dù biết đi phun thuốc sâu, thuốc cỏ,… đều rất độc hại nhưng vì cơm áo, gạo, tiền và muốn 3 đứa con được ở lại Thủ đô nên bà chấp nhận tất cả. Bà lý giải, “tôi biết mấy đứa con tôi học đại học ngoài đó vất vả lắm. Tiền triệu ở nhà quê thì to nhưng so với Hà Nội thì chả thấm tháp vào đâu cả. Vì sợ ngoài đó chúng nó ăn mì tôm, lại còn đi làm thêm nữa thì khổ lắm. Mình khổ quen rồi nên ráng…” Bà Vi chỉ chiếc áo công nhân kể: “đứa con gái của tôi đã từng viết bài văn khiến cả trường xúc động về “chiếc áo phong sương” của mẹ.
...nhưng 26 năm qua, mẹ vẫn chờ một lần được nhận hoa 8/3
Niềm vui lớn nhất của tôi là nhìn thấy các con lần lượt được đội mũ cử nhân ra trường. Nó như một cái cây đến ngày hái quả. Tôi lấy đó mà cố gắng. Cũng có những lúc mủi lòng lắm, sinh ba đứa con ngày nào ríu rít chạy nhảy bên bố mẹ. Thoáng cái giờ đã khôn lớn, trưởng thành rồi đi học hết. Nhiều hôm đi làm về cảnh nhà vắng vẻ, tôi cũng buồn lắm. Nhưng rồi lại xua đi những cảm xúc đó. Vì tôi nghĩ hạnh phúc còn dài ở phía trước…Lắng đọng, suy nghĩ xa xôi, nước mắt của người mẹ này lăn dài trên đôi má đen sạm vì sương gió, vì nhớ con. Và vì những phút mủi lòng cần được an ủi…Tôi biết ba đứa con tôi có hiếu lắm, chúng nó từ nhỏ vất vả nên có nghị lực, cả ba đứa phấn đấu vào đại học để trả công cho tôi. Không phải mấy đứa không tặng hoa cho tôi là không có hiếu. Không phải vì chúng không nhớ hay vô tâm đâu. Có lẽ vì con nhà quê nên vụng về, e ngại không dám thể hiện tình cảm với mẹ.
Nhưng dù sao, suốt 26 năm qua tôi vẫn ao ước được một lần được cầm đoá hoa tươi thắm do chính tay các con tặng… Tôi vẫn chờ đến ngày đó”.
(Báo điện tử Bee.net.vn ngày 06/3/2012)
Câu 2 (12,0 điểm)
Bàn về thơ, nhà lí luận phê bình nổi tiếng của Trung Quốc, Viên Mai đã nói:
“Thơ là do cái tình sinh ra và đó phải là tình cảm chân thật”
Em hãy làm sáng tỏ ý kiến trên qua bài thơ Đọc Tiểu Thanh kí (Độc Tiểu Thanh kí) của Nguyễn Du.
Download tài liệu để xem chi tiết.
Theo Nghị định 147/2024/ND-CP, bạn cần xác thực tài khoản trước khi sử dụng tính năng này. Chúng tôi sẽ gửi mã xác thực qua SMS hoặc Zalo tới số điện thoại mà bạn nhập dưới đây: