Hỗ trợ tư vấn
Tư vấn - Giải đáp - Hỗ trợ đặt tài liệu
Mua gói Pro để tải file trên Download.vn (không bao gồm tài liệu cao cấp) và trải nghiệm website không quảng cáo
Tìm hiểu thêm »
SỞ GIÁO DỤC VÀ ĐÀO TẠO
|
KỲ THI CHỌN HỌC SINH GIỎI CẤP TỈNH LỚP 12 THPT
|
Câu 1 (5,0 điểm).
a) Giải phương trình:
.
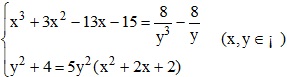
b) Giải hệ phương trình:
.
Câu 2 (4,0 điểm).
a) Cho dãy số (un) xác định bởi: 
Đặt
. Tính: limSn.
b) Tìm tất cả các hàm số f liên tục trên ¡ thỏa mãn:
f(3x – y + α) = 3f(x) – f(y), Với mọi x, y thuộc ¡ trong đó α là số thực cho trước.
Câu 3 (5,0 điểm).
a) Cho tam giác ABC có diện tích bằng 1. Gọi M là điểm bất kỳ nằm trong mặt phẳng chứa tam giác ABC. Tìm giá trị nhỏ nhất của biểu thức: T = MA.ha + MB.hb + MC.hc (với ha, hb, hc lần lượt là độ dài các đường cao vẽ từ A, B, C).
b) Cho tam giác ABC có hai đỉnh B, C cố định và đỉnh A thay đổi. Gọi H và G lần lượt là trực tâm và trọng tâm của tam giác ABC. Gọi E là điểm đối xứng với H qua G. Tìm tập hợp các điểm A, biết rằng điểm E thuộc đường thẳng BC.
Câu 4 (3,0 điểm).
a) Tìm tất cả các số nguyên dương a, b, c sao cho: a + 2b = c và a3 + 8b3 = c2.
b) Cho đa thức f(x) có bậc n > 1, có các hệ số đều là các số nguyên và thỏa mãn điều kiện f(a + b) = a.b, với a, b là hai số nguyên cho trước (a, b khác 0).
Chứng minh rằng f(a) chia hết cho b và f(b) chia hết cho a.
Câu 5 (3,0 điểm).
Cho ba số thực dương a, b, c thỏa mãn a.b.c = 8.
Chứng minh rằng với mọi k thuộc ¥*, ta có:![]()
Câu 1 (8 điểm)
Trình bày suy nghĩ của anh/chị về quan niệm sống thể hiện trong các câu sau:
- Thà một phút huy hoàng rồi chợt tối
Còn hơn buồn le lói suốt trăm năm
(trích Giục giã - Xuân Diệu)
- Sống tung sóng gió thanh cao mới
Sống mạnh dù trong một phút giây
(trích Đi - Tố Hữu)
- Sống trong đời sống cần có một tấm lòng.
(trích Để gió cuốn đi (ca từ) - Trịnh Công Sơn)
Câu 2 (12 điểm)
Có nhận định rằng: Văn chương không có gì riêng sẽ không là gì cả.
Anh/chị hiểu như thế nào về ý kiến trên?
Hãy phân tích bài thơ Sóng của Xuân Quỳnh để làm sáng tỏ ý kiến đó.
Download tài liệu để xem chi tiết.
Theo Nghị định 147/2024/ND-CP, bạn cần xác thực tài khoản trước khi sử dụng tính năng này. Chúng tôi sẽ gửi mã xác thực qua SMS hoặc Zalo tới số điện thoại mà bạn nhập dưới đây: