Hỗ trợ tư vấn
Tư vấn - Giải đáp - Hỗ trợ đặt tài liệu
Mua gói Pro để tải file trên Download.vn (không bao gồm tài liệu cao cấp) và trải nghiệm website không quảng cáo
Tìm hiểu thêm »
SỞ GIÁO DỤC VÀ ĐÀO TẠO
|
ĐỀ THI CHỌN HỌC SINH GIỎI CẤP TỈNH
|
Bài 1 (4 điểm).
Giải phương trình: 
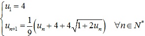
Bài 2 (4 điểm).
Cho dãy số (un) xác định bởi 
Tìm công thức số hạng tổng quát un của dãy số.
Bài 3 (4 điểm).
Cho tam giác nhọn ABC, trên cạnh BC lấy các điểm E, F sao cho góc BAE = CAF, gọi M, N lần lượt là hình chiếu vuông góc của F trên các đường thẳng AB và AC, kéo dài AE cắt đường tròn ngoại tiếp tam giác ABC tại D. Chứng minh rằng tứ giác AMDN và tam giác ABC có diện tích bằng nhau.
Bài 4 (4 điểm)
Cho tập hợp A = {1; 2; 3;... ; 18}. Có bao nhiêu cách chọn ra 5 số trong tập A sao cho hiệu của hai số bất kì trong 5 số đó không nhỏ hơn 2.
Bài 5 (4 điểm).
Cho các số dương a, b, c thoả mãn a + b + c = 3. Chứng minh rằng:![]()
Câu 1 (4,0 điểm)
a. Tại sao cây xanh bị vàng khi thiếu một trong các nguyên tố nitơ (N), magiê (Mg), sắt (Fe)?
b. Cho một ví dụ minh họa ánh sáng liên quan trực tiếp với quá trình trao đổi nitơ của cây xanh.
c. Mưa axit là gì? Mưa axit ảnh hưởng đến cây xanh như thế nào?
Câu 2 (2,0 điểm)
a. Thế nào là vận động hướng động? Cho ví dụ. Vì sao vận động hướng động xảy ra chậm, trong khi vận động cảm ứng xảy ra nhanh?
b. Hãy nêu các điểm khác nhau giữa auxin và gibêrelin về cấu tạo hóa học, nồng độ tác dụng, các chất tổng hợp. Dựa trên nguyên tắc để tạo được quả không hạt?
Câu 3 (2,0 điểm)
a. Theo dõi sự sản sinh ôxi và thải ôxi trong hoạt động quang hợp của một cây C4 theo sự thay đổi của nhiệt độ môi trường, người ta lập được đồ thị dưới đây:

- Hãy cho biết đường cong nào biểu diễn sự sản sinh ôxi trong mô lá, đường cong nào biểu diễn sự thải ôxi ra môi trường? Vì sao?
- Giải thích sự biến thiên của đường cong A và đường cong B.
b. Trình bày tầm quan trọng của sự hô hấp ở rễ.
Câu 4 (2,0 điểm)
Người ta đã khẳng định ánh sáng đỏ có hiệu quả quang hợp hơn ánh sáng xanh tím. Hãy thiết kế các thí nghiệm chứng minh và giải thích cơ sở khoa học của các thí nghiệm này.
Câu 5 (2,0 điểm)
a. Một bệnh nhân bị hở van tim (van nhĩ - thất đóng không kín). Hãy giải thích về sự thay đổi nhịp tim, lượng máu tim bơm lên động mạch trong mỗi chu kì tim (thể tích tâm thu) và huyết áp của bệnh nhân đó.
b. Khi huyết áp giảm hoặc tăng thì hoạt động của tim và hệ mạch sẽ thay đổi như thế nào?
Câu 6 (2,0 điểm)
a. Vì sao trâu, bò chỉ ăn cỏ (chứa chủ yếu xenlulôzơ, rất ít chất đạm và chất béo) mà vẫn phát triển và hoạt động bình thường?
b. Trình bày những ưu điểm của tiêu hóa ngoại bào so với tiêu hóa nội bào. Vì sao ở các động vật bậc cao tiêu hóa ngoại bào lại chiếm ưu thế?
Câu 7 (2,0 điểm)
a. Tại sao bao miêlin có khả năng cách điện?
b. Tại sao nói chùy xinap có tác dụng bảo vệ hệ thần kinh?
c. Có thể thay đổi được tập tính không? Trong trường hợp nào?
Câu 8 (2,0 điểm)
a. Vì sao trứng được thụ tinh khi đã di chuyển được đoạn đường trong ống dẫn trứng mà hiếm khi xảy ra ở vị trí khác?
b. Trong quá trình tiến hoá, động vật từ dưới nước lên sống trên cạn sẽ gặp những trở ngại gì liên quan đến sinh sản? Những trở ngại đó đã được khắc phục như thế nào?
Câu 9 (2,0 điểm)
Giải thích sự điều hòa hoạt động tiết hoocmôn bằng các cơ chế liên hệ ngược và bằng cơ chế thần kinh ở người. Nêu ví dụ minh họa cho mỗi trường hợp.
Câu 1 (8,0 điểm)
Hãy viết một bài văn nghị luận (khoảng 600 từ) có nhan đề Con lật đật.
Câu 2 (12,0 điểm)
Bàn về nhân vật trong tác phẩm văn học có ý kiến cho rằng:
“Nhà văn sáng tạo nhân vật để gửi gắm tư tưởng, tình cảm và quan niệm của mình về cuộc đời”.
Em hãy làm sáng tỏ nhận định trên qua nhân vật trong một truyện ngắn mà em đã được học trong chương trình Ngữ văn lớp 11 THPT.
Download tài liệu để xem chi tiết.
Theo Nghị định 147/2024/ND-CP, bạn cần xác thực tài khoản trước khi sử dụng tính năng này. Chúng tôi sẽ gửi mã xác thực qua SMS hoặc Zalo tới số điện thoại mà bạn nhập dưới đây: