Hỗ trợ tư vấn
Tư vấn - Giải đáp - Hỗ trợ đặt tài liệu
Mua gói Pro để tải file trên Download.vn (không bao gồm tài liệu cao cấp) và trải nghiệm website không quảng cáo
Tìm hiểu thêm »
SỞ GIÁO DỤC VÀ ĐÀO TẠO VĨNH PHÚC
|
ĐỀ THI KHẢO SÁT LẦN I - KHỐI 11
|
Câu 1. (2 điểm)
Giải phương trình và hệ phương trình sau:
Câu 2. (3 điểm)
Giải các phương trình sau:
1) sinx + sin2x + sin3x = 0
Câu 3. (1 điểm)
Cho phương trình: (cosx + 1)(cos2x + cosx - mcosx) = m/2(1 - cos2x)
Tìm m để phương trình có nghiệm thuộc khoảng (-π/2; π/2)
Câu 4. (1 điểm)
Cho hình chóp S.ABCD có đáy ABCD là hình bình hành. Trên cạnh BC và SC lần lượt lấy hai điểm E và F (E và F không trùng với các đầu mút)
1. Tìm giao điểm của SD và mặt phẳng (AEF)
2. Tìm giao tuyến của mặt phẳng (AEF) với mặt phẳng (SBD).
Câu 5. (1 điểm)
Trong mặt phẳng Oxy cho tam giác ABC và điểm D(-2; -1), biết phân giác góc B và đường cao xuất phát từ C lần lượt có phương trình (d1): 2x + y = 0 và (d2): x + y + 1 = 0 đồng thời (d1) là đường phân giác góc ABD . Tìm tọa độ A, B, C.
Câu 6. (1 điểm)
Có bao nhiêu số tự nhiên có 7 chữ số có dạng
sao cho a1 + a2 + a3 + a4 = 4. Ba chữ số a5, a6, a7 đôi một khác nhau và có tổng bằng 8.
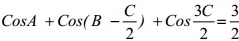
Câu 7. (1 điểm)
Tìm các góc của tam giác ABC biết:![]()
Câu I (2,0 điểm)
Phân tích ngắn gọn ý nghĩa các nhan đề “Cái lò gạch cũ”, “Chí Phèo” của Nam Cao, và nhan đề “Đôi lứa xứng đôi” do nhà xuất bản đặt.
Câu II (3,0 điểm)
Khổng Tử nói: “Nhân chi sơ, tính bản thiện”
Tuân Tử nói: “Nhân chi sơ, tính bản ác”
Chủ Tịch Hồ Chí Minh lại nói:
“Hiền dữ phải đâu là tính sẵn
Phần nhiều do giáo dục mà nên”
Dựa vào 3 quan điểm trên, hãy viết một bài văn ngắn (400 từ) bàn về vai trò của giáo dục đối với sự hình thành và hoàn thiện nhân cách của con người.
Câu III (5,0 điểm)
Phân tích đoạn văn tả cảnh Huấn Cao cho chữ viên quản ngục ở cuối tác phẩm “Chữ người tử tù” của Nguyễn Tuân.
Download tài liệu để xem chi tiết.
Theo Nghị định 147/2024/ND-CP, bạn cần xác thực tài khoản trước khi sử dụng tính năng này. Chúng tôi sẽ gửi mã xác thực qua SMS hoặc Zalo tới số điện thoại mà bạn nhập dưới đây: