Hỗ trợ tư vấn
Tư vấn - Giải đáp - Hỗ trợ đặt tài liệu
Mua gói Pro để tải file trên Download.vn (không bao gồm tài liệu cao cấp) và trải nghiệm website không quảng cáo
Tìm hiểu thêm »
SỞ GIÁO DỤC VÀ ĐÀO TẠO
|
KỲ THI CHỌN HSG GIẢI TOÁN TRÊN MÁY TÍNH CẦM TAY
|
Bài 1:
Cho hàm số: ![]()
Tính gần đúng giá trị lớn nhất, giá trị nhỏ nhất của hàm số.
Bài 2:
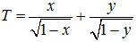
Cho x > 0, y > 0, x + y = 1
Tính gần đúng giá trị nhỏ nhất của biểu thức: ![]()
Bài 3:
Cho hình chóp tứ giác đều, biết độ dài đoạn thẳng nối từ đỉnh đến trung điểm cạnh đáy là d = 3,415 cm, góc giữa cạnh bên và đáy bằng 420. Tính gần đúng thể tích khối chóp đó .
Bài 4:
Cho: x1005 + y1005 = 1,005 và x2010 + y2010 = 2,010.
Hãy tính gần đúng giá trị biểu thức: P = x3015 + y3015.
Bài 5:
Tính gần đúng nghiệm của hệ phương trình:
Bài 6:
Cho hàm số
có đồ thị (C). Tìm gần đúng tọa độ những điểm trên (C) có hoành độ lớn hơn 1, sao cho tiếp tuyến tại đó tạo với hai đường tiệm cận của nó một tam giác có chu vi bé nhất.
Bài 7:
Cho tam giác ABC cân tại A. Đường thẳng AB có phương trình: x + y - 3 = 0, đường thẳng BC có phương trình: 2x - y = 0. Tìm gần đúng tọa độ điểm C biết đường thẳng AC đi qua ![]()
Bài 8:
Cho hàm số: y = x3 - 3mx2 + 9x + 3m - 5. Tính giá trị gần đúng của m để hàm số có hai cực trị và hình chiếu vuông góc của hai điểm cực trị lên đường thẳng
, trùng nhau.
Bài 9:
Tính gần đúng các nghiệm của phương trình:
Bài 10:
Cho dãy số(un) xác định như sau:
Tính gần đúng: P = u2010 + u2011
Download tài liệu để xem thêm chi tiết
Theo Nghị định 147/2024/ND-CP, bạn cần xác thực tài khoản trước khi sử dụng tính năng này. Chúng tôi sẽ gửi mã xác thực qua SMS hoặc Zalo tới số điện thoại mà bạn nhập dưới đây: