Hỗ trợ tư vấn
Tư vấn - Giải đáp - Hỗ trợ đặt tài liệu
Mua gói Pro để tải file trên Download.vn (không bao gồm tài liệu cao cấp) và trải nghiệm website không quảng cáo
Tìm hiểu thêm »
SỞ GIÁO DỤC VÀ ĐÀO TẠO
|
KỲ THI CHỌN HSG GIẢI TOÁN TRÊN MÁY TÍNH CẦM TAY
|
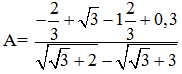
Bài 1:
Tính gần đúng giá trị của biểu thức:
Bài 2:
Tính gần đúng các nghiệm của phương trình:![]()
Bài 3:
Cho hàm số ![]()
Tính gần đúng giá trị hàm số tại ![]()
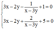
Bài 4:
Tìm gần đúng nghiệm hệ phương trình:
Bài 5:
Một người đi xe đạp từ A đến B dài 101 km.Do có việc gấp người ấy tăng vận tốc thêm 2,3 km/h so với vận tốc dự định nên đến B sớm hơn 1giờ. Tính gần đúng vận tốc dự định của người ấy
Bài 6:
Tính gần đúng giá trị x, biết:
Bài 7:
Cho parabol (P): y = ax2 + bx + c. Tính gần đúng giá trị a, b và c biết (P) qua A(-1;2); ![]()
Bài 8:
Tìm gần đúng tọa độ giao điểm của parapol (P1): y = x2 - 4x - 5/2 và parapol (P2): y = -2x2 - x - 3/2
Bài 9:
Cho hình thang ABCD có 2 đường chéo vuông góc nhau. Hai cạnh đáy AB = 3,56cm, DC = 8,33cm, cạnh bên AD = 5,19cm . Tính gần đúng độ dài cạnh bên BC
Bài 10:
Cho tam giác vuông có độ dài 2 cạnh góc vuông b = 10/3 cm; c = 5,1234cm.
Tính gần đúng độ dài đường cao ha ứng với cạnh huyền
Tính gần đúng diện tích hình tròn ngoại tiếp tam giác đã cho.
Download tài liệu để xem thêm chi tiết
Theo Nghị định 147/2024/ND-CP, bạn cần xác thực tài khoản trước khi sử dụng tính năng này. Chúng tôi sẽ gửi mã xác thực qua SMS hoặc Zalo tới số điện thoại mà bạn nhập dưới đây: