Hỗ trợ tư vấn
Tư vấn - Giải đáp - Hỗ trợ đặt tài liệu
Mua gói Pro để tải file trên Download.vn (không bao gồm tài liệu cao cấp) và trải nghiệm website không quảng cáo
Tìm hiểu thêm »
SỞ GIÁO DỤC VÀ ĐÀO TẠO
|
KỲ THI CHỌN HSG GIẢI TOÁN TRÊN MÁY TÍNH CẦM TAY
|
Bài 1.
Tính gần đúng nghiệm của phương trình:![]()
Bài 2.
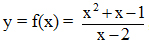
Tính gần đúng giá trị cực tiểu của hàm số:![]()
Bài 3.
Gọi a là hệ số góc của tiếp tuyến của đồ thị hàm số
, tại điểm có hoành độ bằng 1,26. Tính gần đúng giá trị a.
Bài 4.
Tính gần đúng giá trị lớn nhất M và giá trị nhỏ nhất m của hàm số:
, trên đoạn [1,2; 6,5]
Bài 5.
Tính gần đúng nghiệm của phương trình:![]()
Bài 6.
Cho cosx = 0,8157, (270o < x < 360o). Tính x theo độ, phút, giây rồi suy ra giá trị gần đúng của sin3x.
Bài 7.
Tính gần đúng giá trị p và q nếu parabol
đi qua hai giao điểm của đường thẳng d và đường tròn (C), với:
(d): 2x –y – 3 = 0
(C): x2 + y2 – 4x + 5y – 6 = 0
Bài 8:
Tính gần đúng thể tích khối chóp SABCD, đáy ABCD là hình chữ nhật và SA vuông góc mặt đáy với
![]()
Bài 9:
Tính gần đúng các nghiệm của hệ phương trình
Bài 10.
Cho tứ diện ABCD có đáy là BCD vuông cân tại B, AB vuông góc mặt đáy. Tính gần đúng diện tích xung quanh của khối nón tròn xoay đỉnh A được sinh ra khi tam giác vuông ABC quay quanh trục AB, biết: CD = 3,2cm, AB = 2cm.
Download tài liệu để xem thêm chi tiết
Theo Nghị định 147/2024/ND-CP, bạn cần xác thực tài khoản trước khi sử dụng tính năng này. Chúng tôi sẽ gửi mã xác thực qua SMS hoặc Zalo tới số điện thoại mà bạn nhập dưới đây: