Hỗ trợ tư vấn
Tư vấn - Giải đáp - Hỗ trợ đặt tài liệu
Mua gói Pro để tải file trên Download.vn và trải nghiệm website không quảng cáo
Tìm hiểu thêm »
SỞ GIÁO DỤC VÀ ĐÀO TẠO
|
KỲ THI CHỌN HSG GIẢI TOÁN TRÊN MÁY TÍNH CẦM TAY
|
Bài 1:
Tính gần đúng giá trị hai số thực a, b biết:
Bài 2:
Tính gần đúng các nghiệm của phương trình: ![]()
Bài 3:
Trong mặt phẳng tọa độ Oxy. Tính gần đúng diện tích hình tròn ngoại tiếp tam giác ABC có tọa độ các đỉnh A(1,3), B(4,-2), C(5,7)
Bài 4:
Tính giá trị gần đúng của a và b để phương trình sau có nghiệm đúng với mọi x thực.![]()
Bài 5:
Cho tam giác ABC có AB = 6 cm, góc A bằng 103031'28'', góc C bằng 35040'26''. Tính gần đúng giá trị diện tích tam giác ABC và đường cao AH.
Bài 6:
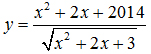
Tính gần đúng giá trị nhỏ nhất của hàm số:
Bài 7:
Tìm nghiệm dương gần đúng của phương trình: x20 + x - 10 = 0
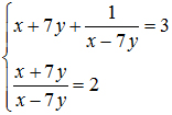
Bài 8:
Tính gần đúng các nghiệm của hệ phương trình:
Bài 9:
Trên các cạnh AB, BC, CA của một tam giác ABC có diện tích
người ta chọn lần lượt các điểm M, N, P thoả mãn điều kiện: ![]()
Tính gần đúng diện tích của tam giác MNP
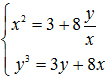
Bài 10:
Tính gần đúng nghiệm của hệ phương trình:
Download tài liệu để xem thêm chi tiết
Theo Nghị định 147/2024/ND-CP, bạn cần xác thực tài khoản trước khi sử dụng tính năng này. Chúng tôi sẽ gửi mã xác thực qua SMS hoặc Zalo tới số điện thoại mà bạn nhập dưới đây: