Hỗ trợ tư vấn
Tư vấn - Giải đáp - Hỗ trợ đặt tài liệu
Mua gói Pro để tải file trên Download.vn (không bao gồm tài liệu cao cấp) và trải nghiệm website không quảng cáo
Tìm hiểu thêm »
SỞ GIÁO DỤC VÀ ĐÀO TẠO
|
KỲ THI CHỌN HSG GIẢI TOÁN TRÊN MÁY TÍNH CẦM TAY
|
Bài 1:
Cho
. Tính gần đúng ![]()
Bài 2:
Các đường trung tuyến của tam giác ABC là AM = 5cm, BE = 4cm, CF = 3cm. Tính gần đúng tổng các bình phương độ dài ba cạnh tam giác ABC.
Bài 3:
Tính gần đúng giá trị lớn nhất của:![]()
Bài 4:
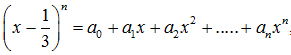
Cho khai triển
, biết a2 bằng 5.
Tính giá trị gần đúng hệ số của số hạng đứng giữa của khai triển trên.
Bài 5:
Cho: x1005 + y1005 = 1,1245 và x2010 + y2010 = 2,469.
Hãy tính gần đúng giá trị biểu thức: P = x3015 + y3015
Bài 6:
Trong mặt phẳng Oxy cho
. Gọi M1 là ảnh của M qua
, M2 là ảnh đối xứng của M1 qua trục Ox. Xác định tọa độ gần đúng của điểm M2
Bài 7:
Tính tổng gần đúng của 
Bài 8:
Một hộp đựng 3 viên bi đỏ và 4 viên bi xanh. Chọn ngẫu nhiên 3 viên bi. Tính gần đúng xác suất để chọn được hơn một viên bi đỏ.
Bài 9:
Trên các cạnh AB, BC, CA của một tam giác ABC có diện tích
người ta chọn lần lượt các điểm M, N, P thoả mãn điều kiện: ![]()
Tính gần đúng diện tích của tam giác MNP
Bài 10:
Tính gần đúng nghiệm dương nhỏ nhất (theo độ, phút, giây) của phương trình:![]()
Download tài liệu để xem thêm chi tiết
Theo Nghị định 147/2024/ND-CP, bạn cần xác thực tài khoản trước khi sử dụng tính năng này. Chúng tôi sẽ gửi mã xác thực qua SMS hoặc Zalo tới số điện thoại mà bạn nhập dưới đây: