Hỗ trợ tư vấn
Tư vấn - Giải đáp - Hỗ trợ đặt tài liệu
Mua gói Pro để tải file trên Download.vn (không bao gồm tài liệu cao cấp) và trải nghiệm website không quảng cáo
Tìm hiểu thêm »
SỞ GIÁO DỤC VÀ ĐÀO TẠO
|
KỲ THI CHỌN HSG GIẢI TOÁN TRÊN MÁY TÍNH CẦM TAY
|
Bài 1.
Tính gần đúng giá trị của biểu thức:![]()
Bài 2.
Tính gần đúng giá trị a,b,c,d nếu đồ thi hàm số y = ax3 + bx2 + cx + d đi qua bốn điểm A(1; -3); B(-2; 4); C(-1; 5); D(2; 3)
Bài 3.
Tím gần đúng tất cả các nghiệm (bằng độ, phút, giây) của phương trình:![]()
Bài 4.
Tính gần đúng giá trị biểu thức A = 1 + 2cosa + 3cos2a + 4cos3a, nếu a là góc nhọn mà sina + cosa = 6/5
Bài 5.
Tính gần đúng toạ độ giao điểm của 2 đường tròn, (C1): x2 + y2 = 4 và (C2): x2 + y2 - 2x - 6y - 6 = 0
Bài 6.
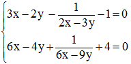
Tính gần đúng nghiệm của hệ phương trình:
Bài 7.
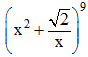
Tính gần đúng hệ số của số hạng chứa x trong khai triển 
Bài 8.
Người ta chọn ngẫu nhiên 3 viên bi từ một túi chứa 4 bi đỏ, 5 bi xanh và 3 bi trắng. Tính gần đúng xác suất để 3 bi được chọn hoàn toàn khác màu.
Bài 9.
Cho tam giác ABC biết AB = 5dm;AC = 4dm; góc A = 46o34’25’’. Tính gần đúng diện tích đường tròn ngoại tiếp tam giác.
Bài 10.
Cho tứ giác ABCD biết tọa độ đỉnh A(-1; 2); B(3; -4); C(3; 2); D(1; 5). Tính gần đúng chu vi của tứ giác ABCD
Download tài liệu để xem thêm chi tiết
Theo Nghị định 147/2024/ND-CP, bạn cần xác thực tài khoản trước khi sử dụng tính năng này. Chúng tôi sẽ gửi mã xác thực qua SMS hoặc Zalo tới số điện thoại mà bạn nhập dưới đây: