77 đề thi vào lớp 10 môn Toán các trường chuyên năm học 2013 - 2014 Bộ đề thi Toán của trường chuyên

Tuyển tập 77 đề thi tuyển sinh lớp 10 môn Toán của các trường chuyên, năng khiếu trên cả nước năm học 2013 - 2014.

SỞ GIÁO DỤC VÀ ĐÀO TẠO
TỈNH NINH BÌNH

ĐỀ CHÍNH THỨC

ĐỀ THI TUYỂN SINH LỚP 10 THPT CHUYÊN
NĂM HỌC 2013 - 2014

Ngày thi: 20/6/2013

ĐỀ THI MÔN: TOÁN

Câu 1 (1,5 điểm).

1. Rút gọn biểu thức Đề thi tuyển sinh lớp 10 THPT chuyên tỉnh Ninh Bình năm 2013 - 2014.

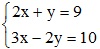
2. Giải hệ phương trình Đề thi tuyển sinh lớp 10 THPT chuyên tỉnh Ninh Bình năm 2013 - 2014.

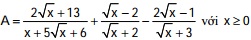
Câu 2 (2,0 điểm). Cho biểu thức:
Đề thi tuyển sinh lớp 10 THPT chuyên tỉnh Ninh Bình năm 2013 - 2014

1. Rút gọn A.

2. Tìm giá trị lớn nhất của A.

Câu 3 (2,0 điểm). Cho phương trình x2 - 2(m + 1)x + 2m = 0 (1) (với x là ẩn, m là tham số).

1. Giải phương trình (1) với m = 0.

2. Tìm m để phương trình (1) có hai nghiệm là độ dài hai cạnh góc vuông của một tam giác vuông có cạnh huyền bằng √2.

Câu 4 (3,0 điểm).

Cho nửa đường tròn tâm O đường kính AB. Một điểm C cố định thuộc đoạn thẳng AO (C khác A và C khác O). Đường thẳng đi qua C và vuông góc với AO cắt nửa đường tròn đã cho tại D. Trên cung BD lấy điểm M (M khác B và M khác D). Tiếp tuyến của nửa đường tròn đã cho tại M cắt đường thẳng CD tại E. Gọi F là giao điểm của AM và CD.

1. Chứng minh tứ giác BCFM là tứ giác nội tiếp.

2. Chứng minh EM = EF.

3. Gọi I là tâm đường tròn ngoại tiếp tam giác FDM. Chứng minh ba điểm D, I, B thẳng hàng, từ đó suy ra góc ABI có số đo không đổi khi M di chuyển trên cung BD.

Câu 5 (1,5 điểm).

1. Chứng minh rằng phương trình (n + 1)x2 + 2x - n(n + 2)(n + 3) = 0 (x là ẩn, n là tham số) luôn có nghiệm hữu tỉ với mọi số nguyên n.

2. Giải phương trình: Đề thi tuyển sinh lớp 10 THPT chuyên tỉnh Ninh Bình năm 2013 - 2014

SỞ GIÁO DỤC VÀ ĐÀO TẠO
QUẢNG NINH

ĐỀ THI CHÍNH THỨC

KỲ THI TUYỂN SINH LỚP 10
TRƯỜNG THPT CHUYÊN HẠ LONG
NĂM HỌC: 2013 - 2014

ĐỀ THI MÔN: TOÁN

(Dành cho học sinh chuyên Toán, chuyên Tin)
Ngày thi: 29/6/2013
Thời gian làm bài: 150 phút (không kể thời gian giao đề)


Câu I. ( 2,0 điểm)

1) Cho biểu thức Đề thi tuyển sinh lớp 10 THPT chuyên Hạ Long năm 2013 - 2014

a. Rút gọn biểu thức A.

b. Tìm giá trị của x để A nhận giá trị nguyên.

2) Tìm số nguyên dương n để Đề thi tuyển sinh lớp 10 THPT chuyên Hạ Long năm 2013 - 2014 là số nguyên tố.

Câu II. (1,5 điểm)

Trên mặt phẳng tọa độ Oxy cho parabol (P) y = x2 và đường thẳng (d): y = mx + 2.

a) Chứng minh rằng với mọi giá trị của m thì đường thẳng (d) luôn cắt parabol (P) tại 2 điểm nằm về hai phía của trục tung.

b) Giả sử đường thẳng (d) cắt parabol (P) tại A(x1; y1) và B(x2; y2). Tìm giá trị của m để Đề thi tuyển sinh lớp 10 THPT chuyên Hạ Long năm 2013 - 2014.

Câu III. (2,0 điểm)

1) Giải phương trình: Đề thi tuyển sinh lớp 10 THPT chuyên Hạ Long năm 2013 - 2014

2) Giải hệ phương trình: Đề thi tuyển sinh lớp 10 THPT chuyên Hạ Long năm 2013 - 2014

Câu IV. (3,5 điểm)

Cho đường tròn (O; R), đường kính AB cố định, đường kính CD thay đổi (CD # AB). Các tia BC, BD cắt tiếp tuyến của đường tròn (O) tại A lần lượt ở E, F.

a) Chứng minh tứ giác CDFE nội tiếp.

b) Khi đường kính CD thay đổi, tìm giá trị nhỏ nhất của EF theo R.

c) Đường tròn đi qua ba điểm O, D, F và đường tròn đi qua ba điểm O, C, E cắt nhau ở G (G # O). Chứng minh ba điểm B, A, G thẳng hàng.

Câu V. (1,0 điểm)

Cho số thực x thỏa mãn 0 < x < 1. Chứng minh rằng Đề thi tuyển sinh lớp 10 THPT chuyên Hạ Long năm 2013 - 2014

Download tài liệu để xem thêm chi tiết.

Chia sẻ bởi:
Liên kết tải về
Tìm thêm: Toán 9
Xác thực tài khoản!

Theo Nghị định 147/2024/ND-CP, bạn cần xác thực tài khoản trước khi sử dụng tính năng này. Chúng tôi sẽ gửi mã xác thực qua SMS hoặc Zalo tới số điện thoại mà bạn nhập dưới đây:

Số điện thoại chưa đúng định dạng!
Số điện thoại này đã được xác thực!
Bạn có thể dùng Sđt này đăng nhập tại đây!
Lỗi gửi SMS, liên hệ Admin
Sắp xếp theo
👨
Đóng
Chỉ thành viên Download Pro tải được nội dung này! Download Pro - Tải nhanh, website không quảng cáo! Tìm hiểu thêm
Nhắn tin Zalo