Hỗ trợ tư vấn
Tư vấn - Giải đáp - Hỗ trợ đặt tài liệu
Mua gói Pro để tải file trên Download.vn (không bao gồm tài liệu cao cấp) và trải nghiệm website không quảng cáo
Tìm hiểu thêm »
BỘ GIÁO DỤC - ĐÀO TẠOĐỀ THI THỬ SỐ: 01 |
KỲ THI TỐT NGHIỆP TRUNG HỌC PHỔ THÔNG NĂM 2014Môn thi: TOÁN – Giáo dục trung học phổ thông |
I. PHẦN CHUNG CHO TẤT CẢ CÁC THÍ SINH (7,0 điểm)
Câu 1 (3,0 điểm): Cho hàm số y = -x3 + 3x2 - 4
1) Khảo sát sự biến thiên và vẽ đồ thị (C) của hàm số đã cho.
2) Tìm tất cả các giá trị của tham số m sao cho phương trình - x3 + 3x2 - m = 0 có 3 nghiệm thực phân biệt.
Câu 2 (3,0 điểm):
1) Giải bất phương trình: ![]()
2) Tính tích phân: 
3) Tìm tất cả các giá trị của m để hàm số y = x3 - 2mx2 + m2x - 2 đạt cực tiểu tại x = 1.
Câu 3 (1,0 điểm):
Cho hình chóp S.ABCD có đáy ABCD là hình chữ nhật, các mặt bên (SAB) và (SAD) vuông góc với đáy, SA = AB = a, góc SAD = 30o. Tính thể tích khối chóp S.ABCD.
II. PHẦN RIÊNG (3,0 điểm): Thí sinh chỉ được chọn một trong 2 phần (phần 1 hoặc phần 2)
Phần 1. Theo chương trình Chuẩn:
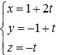
Câu 4a (2,0 điểm): Trong không gian với hệ toạ độ Oxyz cho điểm A(1; 2; 3), đường thẳng (Δ) có phương trình
và mặt phẳng (α) có phương trình: 2x + 2y + z - 1 = 0.
1) Viết phương trình mặt phẳng (P) đi qua A và vuông góc với đường thẳng (Δ).
2) Viết phương mặt cầu (S) tâm I nằm trên đường thẳng Δ, tiếp xúc với mặt phẳng (α) và có bán kính bằng 2.
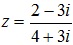
Câu 5a (1,0 điểm): Tìm số phức liên hợp của số phức ![]()
Phần 2. Theo chương trình Nâng cao:
Câu 4b (2,0 điểm):
Trong không gian với hệ toạ độ Oxyz cho điểm M (2; 1; 3) và đường thẳng (d) có phương trình: ![]()
1) Viết phương trình mặt phẳng (α) đi qua điểm M và chứa trục Ox.
2) Viết phương trình đường thẳng đi qua M, cắt và vuông góc với đường thẳng (d).
Câu 5b (1,0 điểm ): Tìm các số thực x, y thỏa mãn x(1 + 3i) + y(1 - i)3 = 3 + 13i.
Download tài liệu để xem chi tiết.
Theo Nghị định 147/2024/ND-CP, bạn cần xác thực tài khoản trước khi sử dụng tính năng này. Chúng tôi sẽ gửi mã xác thực qua SMS hoặc Zalo tới số điện thoại mà bạn nhập dưới đây: