Hỗ trợ tư vấn
Tư vấn - Giải đáp - Hỗ trợ đặt tài liệu
Mua gói Pro để tải file trên Download.vn (không bao gồm tài liệu cao cấp) và trải nghiệm website không quảng cáo
Tìm hiểu thêm »Đề thi Violympic Toán lớp 9 vòng 15 năm 2015 - 2016 kèm đáp án, giúp các em học sinh lớp 9 ôn ập và củng cố kiến thức, nhằm đạt kết quả cao trong các vòng tiếp theo của cuộc thi Violympic giải Toán qua mạng năm học 2015 - 2016. Mời các em cùng tham khảo tài liệu sau:
Câu 1.1: Kết quả của phép tính
![]()
Câu 1.2: Tổng giá trị các nghiệm của phương trình:
là: .................
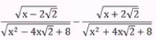
Câu 1.3: Giá trị của biểu thức:
là: ..............
Câu 1.4: Cho biểu thức: 
M đạt giá trị lớn nhất khi x = ...........
Câu 1.5: Số nghiệm của phương trình:
là ..........
Câu 1.6: Giá trị của biểu thức:
tại x = 3 là ............
Câu 1.7: Rút gọn biểu thức: ![]()
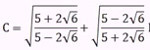
Câu 1.8: Giá trị biểu thức:
là ...............
Câu 1.9: Giá trị lớn nhất của biểu thức:
là ............
Câu 1.10: Giá trị nhỏ nhất của A = I3x - 7I + I3x + 13I là ............
Câu 2.1: Đường tròn tâm O, bán kính R = 10cm có dây cung AB = 12cm. Khoảng cách từ dây cung AB đến tâm O là ............... cm.
Câu 2.2: Trên hệ trục tọa độ Oxy, đồ thị hàm số y = x + 1 và y = -x + 5 cắt nhau tại C và cắt Ox lần lượt tại A và B. Số đo góc CAB = ..........o.
Câu 2.3: Cho hình chữ nhật ABCD. Kẻ AH vuông góc với BD (H thuộc BD), biết HD = 3,6cm và HB = 6,4cm. Khi đó độ dài AH là .......... cm.
Câu 2.4: Cho tam giác ABC có độ dài 3 cạnh lần lượt là 3cm, 4cm, 5cm. Bán kính của đường tròn ngoại tiếp tam giác ABC là .......... cm.
Câu 2.5: Tập nghiệm của phương trình:
là S = {..........}. Nhập các phần tử theo giá trị tăng dần, ngăn cách nhau bởi dấu ";"
Câu 2.6: Khoảng cách giữa hai bến sông A và B là 60km. Một xuồng máy đi xuôi dòng từ A đến B nghỉ 30 phút tại bến B rồi quay trở lại đi ngược dòng 25km để đến bến C. Thời gian kể từ lúc đi đến lúc quay trở lại đến bến C là hết tất cả 8 giờ. Biết rằng vận tốc nước chảy là 1km/h.
Câu 2.7: Để đường thẳng y = ax đi qua giao điểm của hai đường thẳng 2x - 3y = 8 và 7x - 5y = -5 thì giá trị của a là ............
Câu 2.8: Số cặp (xo; yo) nguyên thỏa mãn phương trình: 2x6 + y2 - 2x3y = 320 là ...............
Câu 2.9: Cho các số thực a, b, c thỏa mãn: a + b + c = 6 và 0 ≤ a, b, c ≤ 4. Giá trị lớn nhất của
P = a2 + b2 + c2 + ab + bc + ac là ................
Câu 2.10: Giá trị nhỏ nhất của biểu thức: ![]()
Câu 3.1: Cho hai hàm số y = x và y = 3x. Đường thẳng song song với trục Ox cắt Oy tại điểm có tung độ bằng 6 và cắt các đường thẳng y = x và y = 3x lần lượt tại A và B. Khi đó diện tích tam giác AOB là ......... (đvdt)
Câu 3.2: Cho hai hàm số y = -2x và y = 1/2 .x Qua điểm (0; 2) vẽ đường thẳng song song với trục Ox cắt hai đường thẳng y = 1/2 .x và y = -2x lần lượt tại C và D. Diện tích tam giác COD là ......... (đvdt)
Câu 3.3: Giá trị của biểu thức:
khi x = 4 là ............
Câu 3.4: Cho tam giác ABc vuông tại A, có AB = 6cm, AC = 8cm. Số đo (làm tròn đến độ) của góc B là ..........o.
Câu 3.5: Cho biểu thức:
với (x > 0, x ≠ 4).
Bài 1: Đỉnh núi trí tuệ
Câu 1.1: 3
Câu 1.2: 5
Câu 1.3: 17
Câu 1.4: 0
Câu 1.5: 2
Câu 1.6: 2
Câu 1.7: 25
Câu 1.8: 10
Câu 1.9: 2
Câu 1.10: 20
Bài 2: Hãy điền số thích hợp vào chỗ chấm
Câu 2.1: 8
Câu 2.2: 45
Câu 2.3: 4,8
Câu 2.4: 2,5
Câu 2.5: 1; 2
Câu 2.6: 11
Câu 2.7: 1,2
Câu 2.8: 4
Câu 2.9: 28
Câu 2.10: 2
Bài 3: Vượt chướng ngại vật
Câu 3.1: 12
Câu 3.2: 5
Câu 3.3: 24
Câu 3.4: 53
Câu 3.5: 25
Theo Nghị định 147/2024/ND-CP, bạn cần xác thực tài khoản trước khi sử dụng tính năng này. Chúng tôi sẽ gửi mã xác thực qua SMS hoặc Zalo tới số điện thoại mà bạn nhập dưới đây: