Đề thi Violympic Toán lớp 9 vòng 17 năm 2015 - 2016 Đề thi giải Toán trên mạng lớp 9 có đáp án

Đề thi Violympic Toán lớp 9 vòng 17 năm 2015 - 2016 có đáp án đi kèm, giúp các em học sinh lớp 9 ôn tập và củng cố kiến thức của mình, nhằm đạt kết quả cao trong các vòng tiếp theo của cuộc thi Violympic giải Toán qua mạng năm học 2015 - 2016. Mời các em cùng tham khảo nội dung chi tiết:

Đề thi Violympic Toán lớp 9 vòng 15 năm 2015 - 2016

Đề thi Violympic Toán lớp 9 vòng 16 năm 2015 - 2016

Đề thi Violympic Toán lớp 9 vòng 17 năm 2015 - 2016 có đáp án

Bài 1: Vượt chướng ngại vật

Câu 1.1: Cho hàm số y = ax2 có đồ thị là (P). Để (P) cắt đường thẳng (d): y = 2x + 3 tại điểm có tung độ là 1 thì giá trị của a = ......

Câu 1.2: Cho đường tròn (O; R = 6cm). Từ điểm M cách O một khoảng 2R kẻ 2 tiếp tuyến MA, MB với đường tròn (O) (A, B là 2 tiếp điểm). Bán kính đường tròn nội tiếp tam giác MAB có độ dài là ....cm.

Câu 1.3: Cho đường thẳng (d): y = 2x - 3 và parabol (P): y = -x2 cắt nhau tại 2 điểm M và N. Khoảng cách MN = √a (đvđd). Vậy a = ......
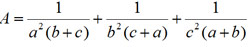
Câu 1.4: Cho biểu thức: Đề thi violympic toán lớp 9 vòng 17. Để A nguyên dương thì giá trị nhỏ nhất của x = .............

Câu 1.5: Cho a, b, c là 3 số thực dương thỏa mãn abc = 1.

Giá trị nhỏ nhất của biểu thứcĐề thi violympic Toán lớp 9 vòng 17 là: ............

Bài 2: Hãy điền số thích hợp vào chỗ chấm

Câu 2.1: Để hàm số y = (m2 - 4)x2 + mx - 4 nghịch biến trên R thì m = ..........

Câu 2.2: Cho AB là đường kính của đường tròn (O), bán kính OC vuông góc với AB. Gọi D là điểm trên nửa đường tròn (O) không chứa C sao cho BD = OB. Số đo của cung CAD là ..........o.

Câu 2.3: Giá trị lớn nhất của Đề thi violympic toán lớp 9 vòng 17là: ............

Câu 2.4: Điểm A trên đường thẳng y = x và điểm B trên đường thẳng y = 2x cùng có tung độ 6. Diện tích tam giác OAB bằng... (đvdt)

Câu 2.5: Trên mặt phẳng tọa độ Oxy, cho tam giác ABC với tọa độ các đỉnh là A(1; 2); B(3; 4); C(6; 1). Phương trình đường thẳng chứa đường cao AH của tam giác đó có hệ số góc là ..........

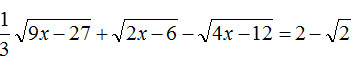
Câu 2.6: Phương trình: Đề thi violympic toán lớp 9 vòng 17có nghiệm là: x = ..............

Câu 2.7: Điều kiện của m để hệ phương trình Đề thi violympic toán lớp 9 vòng 17có nghiệm (x; y) mà x + y < 0 là m < ........

Câu 2.8: Cho tam giác ABC vuông tại A, đường cao AH. Biết chu vi tam giác ABH là 30cm, chu vi tam giác ACH là 40cm. Chu vi tam giác ABC là ..... cm.

Câu 2.9: Cho (x; y) là nghiệm của phương trình Đề thi violympic toán lớp 9 vòng 17. Khi đó x + y = ..............

Câu 2.10: Có ....... cặp số tự nhiên (x; y) nằm trong khoảng (1; 500) sao cho x2 + y2 chia hết cho 121.

Bài 3: Cóc vàng tài ba

Câu 3.1: Cho đường thẳng (d1): y = -2x + 3. Phương trình đường thẳng (d2) song song với (d1) và cắt trục tung tại điểm có tung độ bằng -1 là:

a. y = -2x + 1

b. y = 2x + 1

c. y = -2x - 1

d. y = 2x - 1

Câu 3.2: Hai đường thẳng (d1): x + 2y = 2 và (d2): 2x - y + 6 = 0 cắt nhau tại C. (d1) và (d2) cắt Ox lần lượt tại 2 điểm A và B. Diện tích tam giác ABC là ....... (đvdt).

a. 7 b. 5 c. 4 d. 10

Câu 3.3: Gọi x1, x2 là 2 nghiệm của phương trình: x2 - 2kx - (k - 1)(k - 3) = 0. Khi đó 1/4. (x1 + x2)2 + x1.x2 - 2(x1 - x2) = ...

a. 3 b. 4 c. 0 d. -3

Câu 3.4: Cho đường tròn (O; R) nội tiếp hình thoi ABCD cạnh AB = 4√3cm, số đo góc BAD = 120o. Khi đó R = ...... cm.

a. 5 b. 4 c. 6 d. 3

Câu 3.5: Phương trình mx2 - 2(m - 1)x + m + 1 = 0 (1) (m là tham số, m > 0).

Để (1) có 2 nghiệm phân biệt x1, x2 thỏa mãn x12 + x22 = 16 thì m = ........

a. 2/7 b. 3/8 c. 1/3 d. 7/2

Câu 3.6: Cho tam giác ABC vuông tại A, đường cao AH = 12cm, HC = 4HB. Bán kính đường tròn ngoại tiếp tam giác ABC có độ dài là ....cm.

a. 20 b. 32 c. 30 d. 15

Câu 3.7: Cho x, y là các số thực thỏa mãn x2 + y2 - xy = 4. Giá trị lớn nhất của biểu thức A = x2 + y2 bằng:

a. 10 b. 4 c. 6 d. 8

Câu 3.8: Cho tam giác ABC cân tại B. Các đường cao AD và BE cắt nhau tại H. Một đường thẳng (d) đi qua A và vuông góc với AB, cắt BE tại F. Tứ giác AHCF là:

a. Hình vuông

b. Hình chữ nhật

c. Hình thoi

d. Hình thang vuông

Câu 3.9: Cho x, y, z là ba số dương. Giá trị nhỏ nhất củaĐề thi violympic toán lớp 9 vòng 17 là:

a. 81 b. 9 c. 12 d. 3

Câu 3.10: Cho 2 đường thẳng (d1): y = 3/4. x + 3 và (d2): y = 3/4 .x - 3. Khoảng cách giữa hai đường thẳng trên là ....... (đvdt)

a. 8,1 b. 9,8 c. 4,8 d. 9,6

Đáp án đề thi Violympic Toán lớp 9 vòng 17

Bài 1: Vượt chướng ngại vật

Câu 1.1: 1

Câu 1.2: 3

Câu 1.3: 80

Câu 1.4: 4

Câu 1.5: 3/2

Bài 2: Hãy điền số thích hợp vào chỗ chấm

Câu 2.1: -2

Câu 2.2: 210

Câu 2.3: 4

Câu 2.4: 9

Câu 2.5: 1

Câu 26: 5

Câu 2.7: 1,5

Câu 2.8: 50

Câu 2.9: 16

Câu 2.10: 2025

Bài 3: Cóc vàng tài ba

Câu 3.1: c

Câu 3.2: b

Câu 3.3: d

Câu 3.4: d

Câu 3.5: a

Câu 3.6: d

Câu 3.7: d

Câu 3.8: c

Câu 3.9: b

Câu 3.10: c

Chia sẻ bởi: 👨 Lê Thị tuyết Mai
Liên kết tải về

Chọn file cần tải:

Xác thực tài khoản!

Theo Nghị định 147/2024/ND-CP, bạn cần xác thực tài khoản trước khi sử dụng tính năng này. Chúng tôi sẽ gửi mã xác thực qua SMS hoặc Zalo tới số điện thoại mà bạn nhập dưới đây:

Số điện thoại chưa đúng định dạng!
Số điện thoại này đã được xác thực!
Bạn có thể dùng Sđt này đăng nhập tại đây!
Lỗi gửi SMS, liên hệ Admin
Sắp xếp theo
👨
Đóng
Chỉ thành viên Download Pro tải được nội dung này! Download Pro - Tải nhanh, website không quảng cáo! Tìm hiểu thêm
Nhắn tin Zalo