Hỗ trợ tư vấn
Tư vấn - Giải đáp - Hỗ trợ đặt tài liệu
Mua gói Pro để tải file trên Download.vn (không bao gồm tài liệu cao cấp) và trải nghiệm website không quảng cáo
Tìm hiểu thêm »Đề thi Violympic Toán lớp 9 vòng 15 năm 2016 - 2017 bao gồm cả đáp án của 3 bài thi: Sắp xếp theo thứ tự tăng dần, đừng để tiền rơi và mười hai con giáp. Hy vọng giúp các em học sinh lớp 9 ôn tập thật tốt, nhằm đạt kết quả cao trong những vòng tiếp theo của cuộc thi Giải Toán qua mạng năm học 2016 - 2017. Mời các em cùng theo dõi nội dung chi tiết dưới đây:

Trả lời: Các giá trị theo thứ tự tăng dần
1 < ....< ....< ....< ....< ....< ....< ....< ....< ....
Câu 1: ![]()
Câu 2: Tổng các nghiệm của phương trình (x2 - 17)(x2 - 20)(x2 - 2017) = 0 là...
Câu 3: Cho biết 2 đường thẳng y = x + m - 1 và y = 2x + 4 - m cắt nhau tại 1 điểm nằm trên trục hoành khi đó m =...
Câu 4: Khoảng cách từ gốc tọa độ 0 đến đường thẳng y = -3/4x + 3 là ...
Câu 5: Giá trị nhỏ nhất của biểu thức
là...
Câu 6: Tam giác ABC cân ở A, AB = 9cm; BC = 12cm. Đường cao AH, I là hình chiếu của H trên AC, K là hình chiếu của I trên AH. Độ dài đoạn KI là...
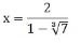
Câu 7: Nghiệm lớn nhất của phương trình
là...
Câu 8: Khoảng cách giữa hai đường thẳng y = 2x + 3 và y = 2x - 4 là...
Câu 9: Cho tam giác ABC có góc BAC = 1200, AB = 4cm, AC = 6cm. Độ dài đường trung tuyến AM của tam giác ABC là... cm
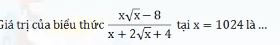
Câu 10: Cho biểu thức
. Giá trị lớn nhất của M =...
Câu 1:

A) √3 - 1
B) √3
C) √3(2 - √3)
D) √3 + 1
Câu 2: Nghiệm nhỏ nhất của phương trình 3x4 - 6x3 - 15x2 + 22x - 12 = 0 là
A) x = 3
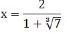
B) ![]()
C) x = -3
D) ![]()
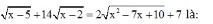
Câu 3: Kết quả rút gọn của biểu thức ![]()
A) 3
B) 5
C) 2
D) 4
Câu 4: Cho tam giác ABC vuông ở A, đường cao AH; Gọi E, F theo thứ tự là hình chiếu của H trên AB, AC. Biết AB = 5, AC = 12. Tính AF.FC + AE.EB =...
A) 60/13
B) 13/30
C) 3600/169
D) 169/3600
Câu 5: ![]()
A) 10
B) 2√3 -4
C) 10 - 2√3
D) 10 + 2√3
Câu 6: ![]()
A) 2
B) 1
C) 0,5
D) -2
Câu 7: Tỉ số giữa bán kính của đường tròn ngoại tiếp và bán kính đường tròn nội tiếp tam giác vuông có góc nhọn bằng 300 là:
A) √3 - 1/2
B) √3 - 1
C) √3 + 1/2
D) √3 + 1
Câu 8: Nghiệm của phương trình ![]()
A) x = 50
B) x = 53
C) x = 55
D) x = 54
Câu 9: Rút gọn biểu thức ta được kết quả là: ![]()
A) P = √b - √a
B) P = -1
C) P = 1
D) P = a - b
Câu 10: Cho tam giác ABC vuông ở A, đường cao AH = 9, trung tuyến AM = 16,. E, F thứ tự là hình chiếu của H trên AB, AC. Giá trị của biểu thức
A) 36
B) 36√3
C) 18√2
D) 36√2
Bài 1: Sắp xếp theo thứ tự tăng dần
1 < 4 < 14 < 2 < 20 < 7 < 15 < 8 < 17 < 6 < 9 < 19 < 13 < 18 < 5 < 16 < 10 < 11 < 2 < 12
1<4<14<2<20<7<15<8<17<6<9<19<13<18<5<16<10<11<2<12
Bài 2: Đừng để điểm rơi
| Câu 1: 30 Câu 2: 0 Câu 3: 2 Câu 4: 12/5 Câu 5: 11 |
Câu 6: 10/3 Câu 7: 7/4 Câu 8: 3,13 Câu 9: 4,36 Câu 10: 1/8 |
Bài 3: Mười hai con giáp
| Câu 1: A Câu 2: C Câu 3: C Câu 4: C Câu 5: A |
Câu 6: A Câu 7: D Câu 8: D Câu 9: B Câu 10: C |
Theo Nghị định 147/2024/ND-CP, bạn cần xác thực tài khoản trước khi sử dụng tính năng này. Chúng tôi sẽ gửi mã xác thực qua SMS hoặc Zalo tới số điện thoại mà bạn nhập dưới đây: